Информационная система
«Ёшкин Кот»

Скачать базу одним архивом
Скачать обновления
История создания базы
Карта сайта

Скачать ГОСТ Р 55898-2013 Технические средства радиосвязи. Взаимные радиопомехи в локальной группировке. Методы расчета

Дата актуализации: 01.06.2025

ГОСТ Р 55898-2013

Технические средства радиосвязи. Взаимные радиопомехи в локальной группировке. Методы расчета

Обозначение: ГОСТ Р 55898-2013
Статус:действующий
Название рус.:Технические средства радиосвязи. Взаимные радиопомехи в локальной группировке. Методы расчета
Дата актуализации текста:01.01.2021
Дата актуализации описания:01.07.2023
Дата издания:06.04.2020
Дата введения:01.07.2014
Нормативные ссылки:ГОСТ Р 50397;ГОСТ 23611;ГОСТ 23872;ГОСТ 24375
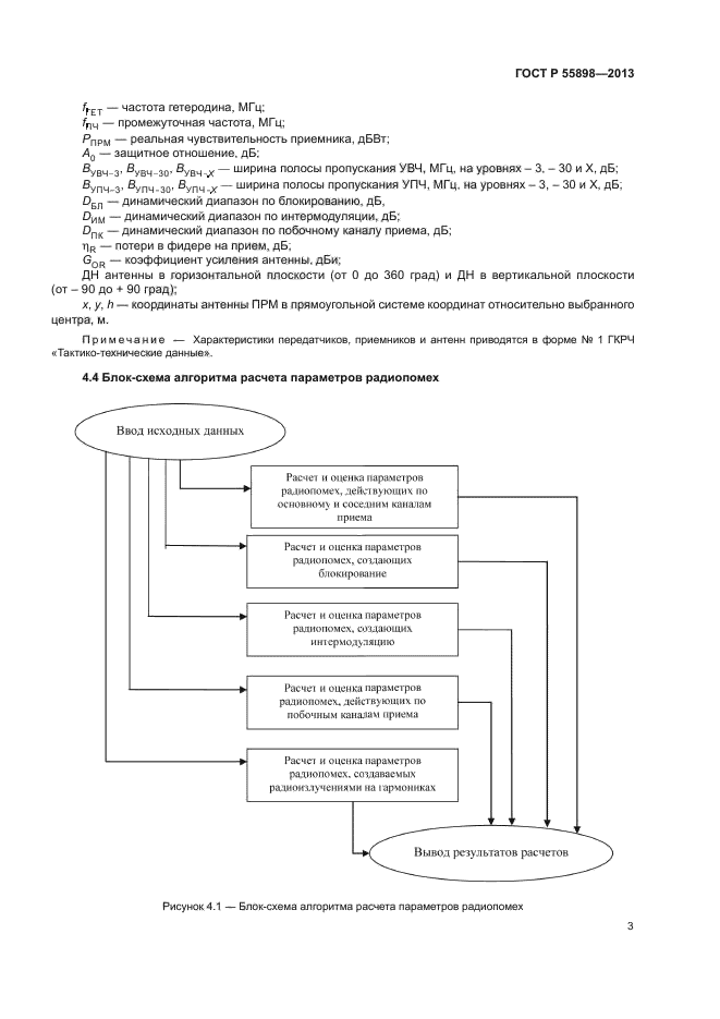
Область применения:Настоящий стандарт распространяется на технические средства радиосвязи, размещенные в локальной группировке, работающие в полосе частот от 27 МГц до 40 ГГц. Стандарт устанавливает методы расчета параметров радиопомех от передатчиков группировки приемникам группировки, для которых рассматриваемые передатчики не являются корреспондентами. Учитывается воздействие излучений передатчиков через антенну на приемники по антенному порту. Не учитывается влияния передатчиков, расположенных вне группировки, на приемники группировки; не учитывается электромагнитный шум, в том числе индустриальные радиопомехи. Методы расчета, установленные в настоящем стандарте, применяют на стадиях проектирования объектов связи и навигации. Методы учитывают топографию проектируемого объекта и технические характеристики оборудования
Расположен в:Государственные стандарты Общероссийский классификатор стандартов Телекоммуникации.аудио-и видеотехника Радиосвязь Приемная и передающая аппаратура Классификатор государственных стандартов Электронная техника, радиоэлектроника и связь Аппаратура и оборудование связи Классификация, номенклатура и общие нормы
ГОСТ Р 55898-2013ГОСТ Р 55898-2013ГОСТ Р 55898-2013ГОСТ Р 55898-2013ГОСТ Р 55898-2013ГОСТ Р 55898-2013ГОСТ Р 55898-2013ГОСТ Р 55898-2013ГОСТ Р 55898-2013ГОСТ Р 55898-2013ГОСТ Р 55898-2013ГОСТ Р 55898-2013ГОСТ Р 55898-2013ГОСТ Р 55898-2013ГОСТ Р 55898-2013ГОСТ Р 55898-2013

© 2013 Ёшкин Кот :-) Карта сайта