| Обозначение: |  ГОСТ Р 55692-2013 |
| Статус: | действующий |
| Название рус.: | Модули электронные. Методы составления и отладки тест-программ для автоматизированного контроля |
| Дата актуализации текста: | 01.01.2021 |
| Дата актуализации описания: | 01.07.2023 |
| Дата издания: | 29.01.2019 |
| Дата введения: | 01.06.2014 |
| Код ОКП: | 501250 |
| Нормативные ссылки: | ГОСТ 19919; ГОСТ 20911 |
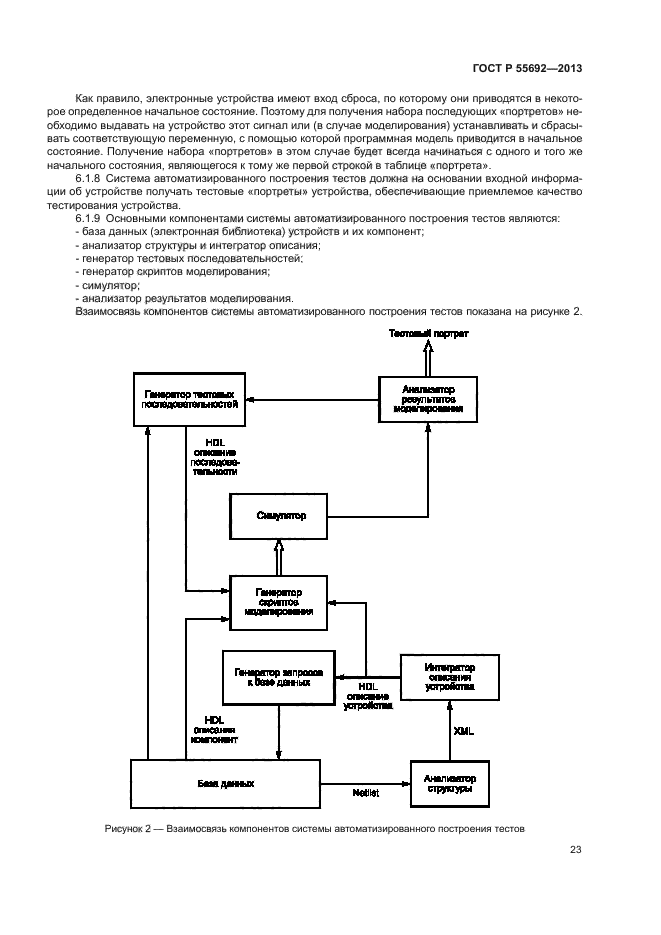
| Область применения: | Настоящий стандарт распространяется на электронные модули (ЭМ), построенные на цифровых интегральных микросхемах. Настоящий стандарт устанавливает методы составления и отладки тестовых программ для автоматизированного контроля цифровых ЭМ на установках тестового контроля и диагностики (УТК), разрабатываемых и изготовляемых по ГОСТ Р 52154 |
|
| Расположен в: |
|