Информационная система
«Ёшкин Кот»

Скачать базу одним архивом
Скачать обновления
История создания базы
Карта сайта

Скачать ГОСТ Р 55848-2013 Воздушный транспорт. Система менеджмента безопасности авиационной деятельности. СМБ Авиационного Комплекса поставщиков обслуживания: проектировщиков и производителей АТ. Общие положения

Дата актуализации: 01.06.2025

ГОСТ Р 55848-2013

Воздушный транспорт. Система менеджмента безопасности авиационной деятельности. СМБ Авиационного Комплекса поставщиков обслуживания: проектировщиков и производителей АТ. Общие положения

Обозначение: ГОСТ Р 55848-2013
Статус:действующий
Название рус.:Воздушный транспорт. Система менеджмента безопасности авиационной деятельности. СМБ Авиационного Комплекса поставщиков обслуживания: проектировщиков и производителей АТ. Общие положения
Дата актуализации текста:01.01.2021
Дата актуализации описания:01.07.2023
Дата издания:06.04.2020
Дата введения:01.01.2015
Нормативные ссылки:ГОСТ Р ИСО 14001;ГОСТ Р 54080
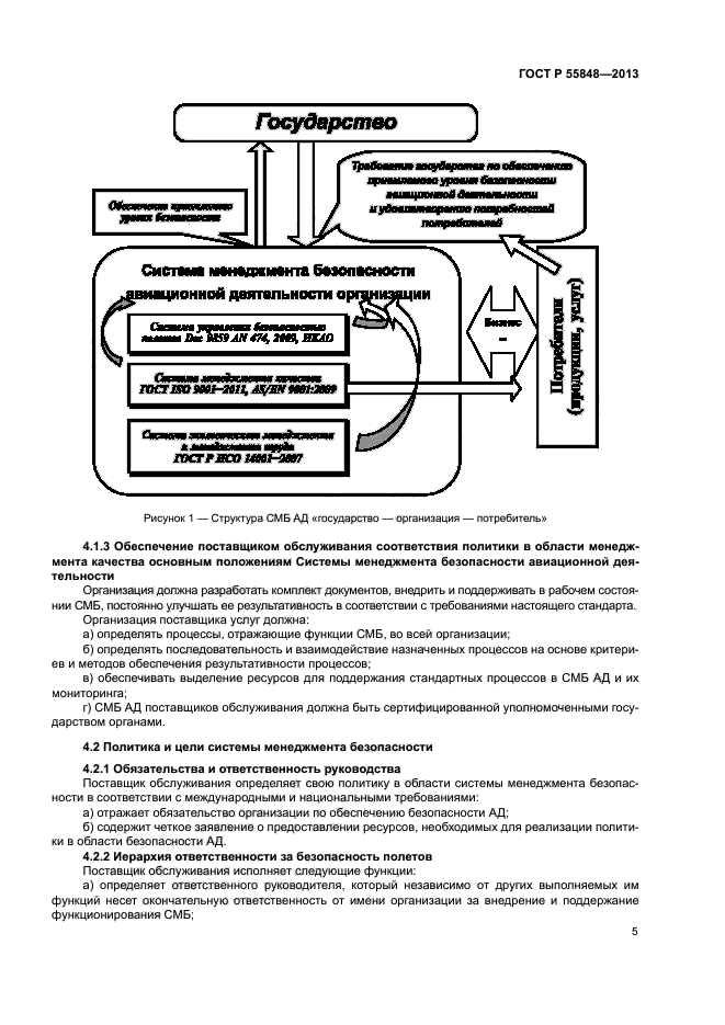
Область применения:Настоящий стандарт определяет требования, основные принципы создания и внедрения системы менеджмента безопасности авиационной деятельности (СМБ АД) в интегрированных структурах и организациях поставщиков обслуживания типа корпораций, холдинговых компаний, производств авиационной техники (АТ) и учебных заведениях. Цель настоящего стандарта – обеспечение единого подхода поставщиков обслуживания к созданию и внедрению СМБ АД в организации для интеграции в единую государственную систему менеджмента безопасности авиационного Комплекса Российской Федерации на основе общих единых требований.Согласно идеологии SARPS ИКАО, а также действующему воздушному законодательству РФ указанные требования распространяются также на государственные и другие организации, деятельность по управлению безопасностью на основе рисков осуществляющие; сбор, хранение, обработку, информации и другие процедуры управления безопасностью в течение жизненного цикла гражданской АТ.Настоящий стандарт: - содержит перечень и описание общих функций, процедур, целей и задач, решаемых в СМБ АТ, в соответствии с требованиями Annex-19 и национальных стандартов; - содержит методические рекомендации и описания принципов управления безопасностью на основе методологии исчисления рисков; - содержит требования к базам данных для СМБ деятельности поставщиков обслуживания в области гражданской авиации и других заинтересованных организаций на основе принципа NASA (ICAO) мониторинга; - содержит требования к унификации форм представления информации об объектах и субъектах CMБ для интеграции результатов мониторингов в государственной системе SMS - в течение жизненного цикла АТ. Методы управления безопасностью определяются применяемой системой управления СМАД (SMS), включающей в себя требования к выполняемым функциям. Ресурсы SMS согласно требованиям ИКАО предусматривают обеспечение доступа к информации по БАД как поставщиков обслуживания, контролирующим государственным органам, так и других организаций, входящих в государственные сети поставщиков авиационного и другого обслуживания. Общие требования к СМБ АД, вытекающие из Annex-19 и SARPS ICAO, изложены в разделе 4. Методические рекомендации по принцип построения процедур, обоснование структуры SMS и принципов управления БАД на основе исчисления рисков представлены в разделе 5
Расположен в:Государственные стандарты Общероссийский классификатор стандартов Услуги. Организация фирм, управление и качество. Администрация. Транспорт. Социология. Транспорт Воздушный транспорт Классификатор государственных стандартов Транспортные средства и тара Авиация Классификация, номенклатура и общие нормы
ГОСТ Р 55848-2013ГОСТ Р 55848-2013ГОСТ Р 55848-2013ГОСТ Р 55848-2013ГОСТ Р 55848-2013ГОСТ Р 55848-2013ГОСТ Р 55848-2013ГОСТ Р 55848-2013ГОСТ Р 55848-2013ГОСТ Р 55848-2013ГОСТ Р 55848-2013ГОСТ Р 55848-2013ГОСТ Р 55848-2013ГОСТ Р 55848-2013ГОСТ Р 55848-2013ГОСТ Р 55848-2013ГОСТ Р 55848-2013ГОСТ Р 55848-2013ГОСТ Р 55848-2013ГОСТ Р 55848-2013ГОСТ Р 55848-2013ГОСТ Р 55848-2013ГОСТ Р 55848-2013

© 2013 Ёшкин Кот :-) Карта сайта