| Обозначение: |  ГОСТ Р ИСО 16000-14-2013 |
| Статус: | действующий |
| Название рус.: | Воздух замкнутых помещений. Часть 14. Определение общего содержания полихлорированных диоксиноподобных бифенилов (ПХБ) и полихлорированных дибензо-пара-диоксинов/дибензо-фуранов (ПХДД/ПХДФ) (в газообразном состоянии и в виде твердых взвешенных частиц). Экстракция, очистка и анализ методами газовой хроматографии и масс-спектрометрии высокого разрешения |
| Дата актуализации текста: | 01.02.2017 |
| Дата актуализации описания: | 01.07.2023 |
| Дата издания: | 22.11.2016 |
| Дата введения: | 01.12.2014 |
| Аутентичен стандартам: | ISO 16000-14:2009 |
| Нормативные ссылки: | ISO 4793;ISO 16000-13:2008 |
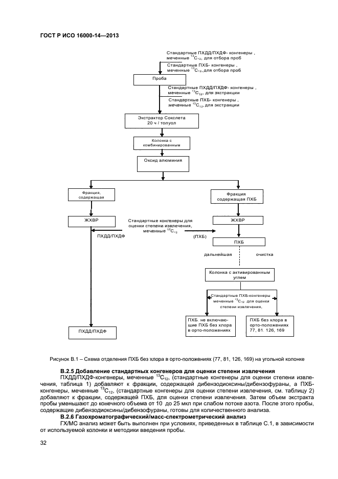
| Область применения: | Настоящий стандарт устанавливает требования к экстракции, очистке и методикам анализа для определения полихлорированных бифенилов (ПХБ), полихлорированных дибензо-пара-диоксинов (ПХДД) и полихлорированных дибензофуранов (ПХДФ), улавливаемых из воздуха замкнутых помещений на аэрозольные фильтры на основе пенополиуретана (ППУ). Метод основан на специфическом анализе с применением газовой хроматографии с высоким разрешением в сочетании с масс-спектрометрией высокого разрешения (ГХВР/МСВР). |
| Список изменений: | №0 от 28.11.2014 (рег. 28.11.2014) «Дата введения перенесена» |
| Приложение №1: | Поправка к ГОСТ Р ИСО 16000-14-2013 |
|
| Расположен в: |
|