| Обозначение: |  ГОСТ Р 53556.5-2013 |
| Статус: | действующий |
| Название рус.: | Звуковое вещание цифровое. Кодирование сигналов звукового вещания с сокращением избыточности для передачи по цифровым каналам связи. Часть III (MPEG-4 Audio). Структурированное кодирование звуковых сигналов (SA) |
| Дата актуализации текста: | 01.01.2021 |
| Дата актуализации описания: | 01.01.2021 |
| Дата издания: | 20.10.2020 |
| Дата введения: | 01.09.2014 |
| Нормативные ссылки: | ГОСТ Р 53556.0-2009 |
| Область применения: | Комплект инструментальных средств структурированного аудио дает возможность передавать и декодировать синтетические звуковые эффекты и музыку, нормируя несколько различных компонентов. Используя структурированное аудио, может быть создан высококачественный звук при чрезвычайно низкой пропускной способности. Типичная синтетическая музыка для чрезвычайно тонкого выразительного исполнения с использованием многочисленных инструментов может быть кодирована в формате на скоростях передачи в пределах от 0 Кбит/с до 2 или 3 Кбит/с |
|
| Расположен в: |
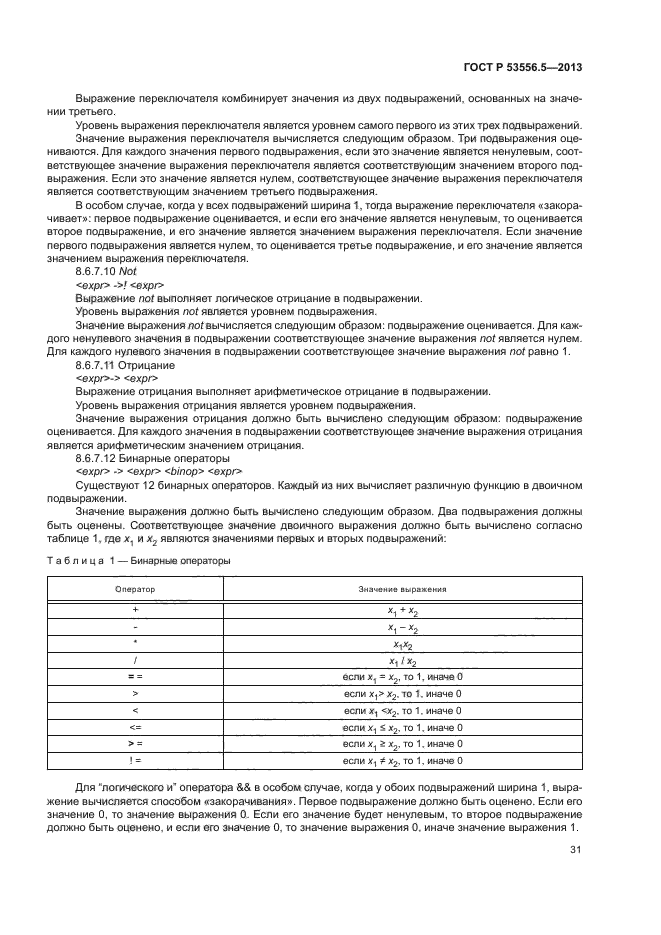
|