Информационная система
«Ёшкин Кот»

Скачать базу одним архивом
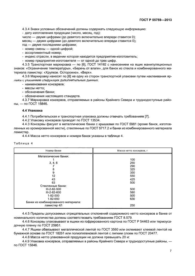
Скачать обновления
История создания базы
Карта сайта

Скачать ГОСТ Р 55759-2013 Консервы мясные кусковые. Технические условия

Дата актуализации: 01.06.2025

ГОСТ Р 55759-2013

Консервы мясные кусковые. Технические условия

Обозначение: ГОСТ Р 55759-2013
Статус:действующий
Название рус.:Консервы мясные кусковые. Технические условия
Дата актуализации текста:01.01.2021
Дата актуализации описания:01.07.2023
Дата издания:09.12.2019
Дата введения:01.01.2015
Код ОКП:921600;921624;921625;921626
Нормативные ссылки:ГОСТ Р 51074;ГОСТ Р 51301;ГОСТ Р 51447;ГОСТ Р 51448;ГОСТ Р 51480;ГОСТ Р 51574;ГОСТ Р 51766;ГОСТ Р 52173;ГОСТ Р 52174;ГОСТ Р 52189;ГОСТ Р 52427;ГОСТ Р 52791;ГОСТ Р 53876;ГОСТ Р 54315;ГОСТ Р 54463;ГОСТ Р 54704;ГОСТ Р 54676;ГОСТ Р 54704;ГОСТ 8.579;ГОСТ 21;ГОСТ 1129;ГОСТ 1723;ГОСТ 33222-2015;ГОСТ 33824-2016;ГОСТ 3560;ГОСТ 5717.2;ГОСТ 5981;ГОСТ 6968;ГОСТ ISO 7218;ГОСТ 8756.0;ГОСТ 8756.1;ГОСТ 8756.18;ГОСТ 10444.1;ГОСТ 13534;ГОСТ 14192;ГОСТ 15846;ГОСТ 17594;ГОСТ 18251;ГОСТ 18992;ГОСТ 20477;ГОСТ 21650;ГОСТ 24597;ГОСТ 25011;ГОСТ 25292;ГОСТ 25951;ГОСТ 26183;ГОСТ 26186;ГОСТ 26663;ГОСТ 26669;ГОСТ 26670;ГОСТ 26671;ГОСТ 26927;ГОСТ 26929;ГОСТ 26930;ГОСТ 26932;ГОСТ 26933;ГОСТ 26935;ГОСТ 29050;ГОСТ 30178;ГОСТ 30425;ГОСТ 31476;ГОСТ 31628;ГОСТ 31479;ГОСТ 31777;ГОСТ 31778;ГОСТ 31797;ГОСТ 31895;ГОСТ 31904;ГОСТ 32065;ГОСТ 32097;ГОСТ 32161;ГОСТ 32164
Область применения:Настоящий стандарт распространяется на кусковые стерилизованные мясные консервы из говядины, свинины и баранины, предназначенные для непосредственного употребления в пищу и приготовления различных блюд и закусок
Расположен в:Государственные стандарты Общероссийский классификатор стандартов Производство пищевых продуктов Мясо, мясные продукты и другие животные продукты Мясо и мясные продукты Классификатор государственных стандартов Пищевые и вкусовые продукты Мясные и молочные продукты Консервы мясные, мясо-растительные и концентраты Окп Продукция мясной, молочной, рыбной, мукомольно-крупяной, комбикормовой и микробиологической промышленности Продукция мясной и птицеперерабатывающей промышленности Консервы мясные Консервы мясные деликатесные и закусочные - из говядины - из свинины - из баранины
ГОСТ Р 55759-2013ГОСТ Р 55759-2013ГОСТ Р 55759-2013ГОСТ Р 55759-2013ГОСТ Р 55759-2013ГОСТ Р 55759-2013ГОСТ Р 55759-2013ГОСТ Р 55759-2013ГОСТ Р 55759-2013ГОСТ Р 55759-2013ГОСТ Р 55759-2013ГОСТ Р 55759-2013ГОСТ Р 55759-2013ГОСТ Р 55759-2013ГОСТ Р 55759-2013

© 2013 Ёшкин Кот :-) Карта сайта