| ||||||||||||||||||||||||||||||
Скачать ГОСТ Р 55748-2013 Руководство по аудиту систем менеджмента качества изготовителей медицинских изделий на соответствие регулирующим требованиям. Часть 4. Аудит нескольких производственных площадокДата актуализации: 01.06.2025
| ||||||||||||||||||||||||||||||
| Обозначение: | ![]() ГОСТ Р 55748-2013 |
| Статус: | действующий |
| Название рус.: | Руководство по аудиту систем менеджмента качества изготовителей медицинских изделий на соответствие регулирующим требованиям. Часть 4. Аудит нескольких производственных площадок |
| Дата актуализации текста: | 01.01.2021 |
| Дата актуализации описания: | 01.07.2023 |
| Дата издания: | 01.11.2014 |
| Дата введения: | 01.01.2015 |
| Код ОКП: | 940000 |
| Содержит требования: | GHTF/SG4/N83:2010 |
| Нормативные ссылки: | ГОСТ Р 5442-2011; ГОСТ Р 54882-2011; ГОСТ Р 54881-2011; ГОСТ Р 55747-2013;GHTF/SG1/N055:2009 |
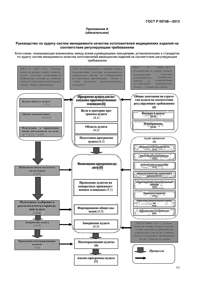
| Область применения: | Настоящий стандарт является руководством для аудиторских организаций для планирования, организации, проведения, документирования, а также анализа программ аудита при проведении аудитов изготовителей медицинских изделий с несколькими производственными площадками, действующими в рамках той же системы менеджмента качества. Настоящий стандарт не распространяется на изготовителей, включающих в себя несколько предприятий, соответствующих различным системам менеджмента качества. Отношения между этими предприятиями необходимо рассматривать как отношения между поставщиками. Однако, если изготовитель имеет несколько предприятий с несколькими производственными площадками, действующими в рамках одной системы менеджмента качества, то настоящий стандарт может быть применен |
| Расположен в: | |

















