| Обозначение: |  ГОСТ Р 55774-2013 |
| Статус: | действующий |
| Название рус.: | Трубы прямоугольные и Н-образные высокой точности и чистоты поверхности из алюминия и алюминиевых сплавов для волноводов. Технические условия |
| Дата актуализации текста: | 01.01.2021 |
| Дата актуализации описания: | 01.07.2023 |
| Дата издания: | 21.07.2014 |
| Дата введения: | 01.06.2014 |
| Код ОКП: | 181150 |
| Нормативные ссылки: | ГОСТ 2789-73; ГОСТ 4784-97; ГОСТ 18475-82 |
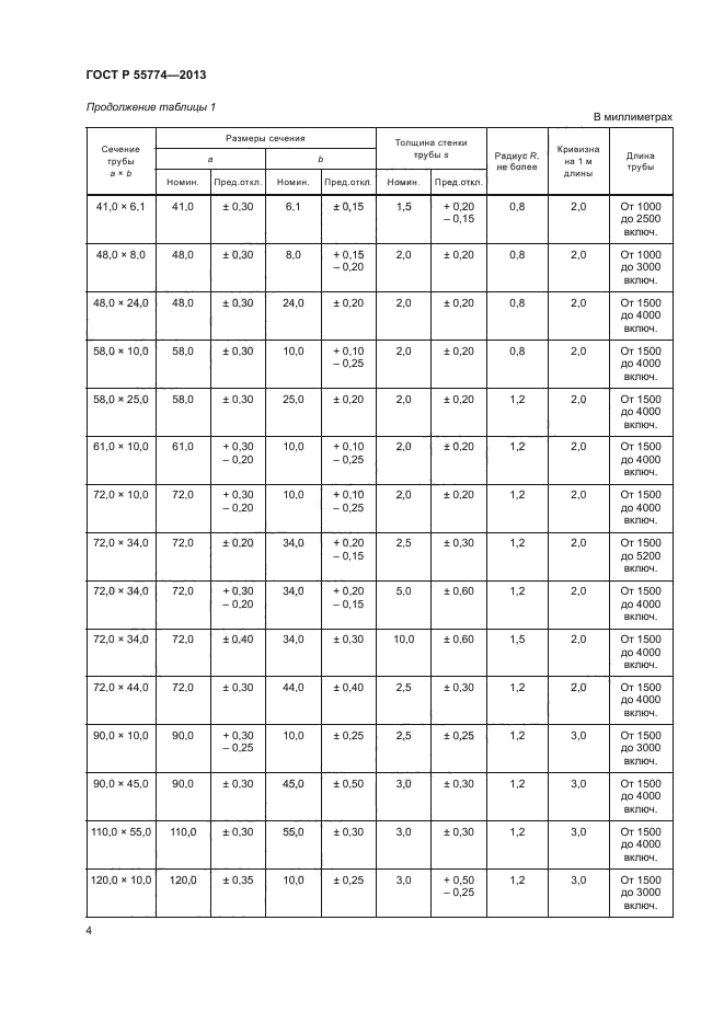
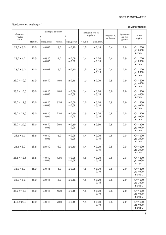
| Область применения: | Настоящий стандарт распространяется на трубы прямоугольного и Н-образного сечения высокой точности и чистоты поверхности из алюминия и алюминиевых сплавов, предназначенные для изготовления волноводов |
|
| Расположен в: |
|