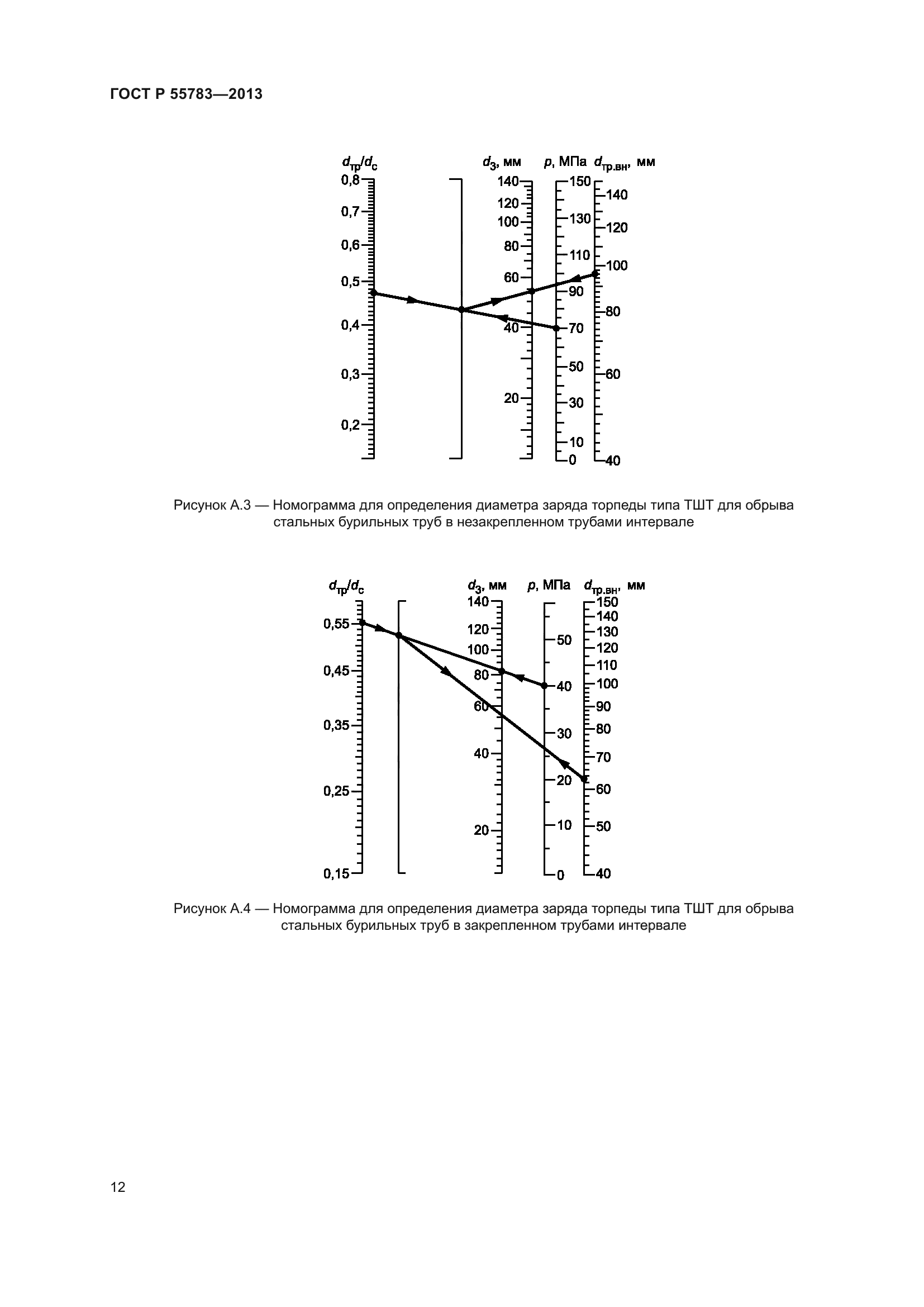
| ||||||||||||||||||||||||||||
Скачать ГОСТ Р 55783-2013 Торпеды фугасные. Технические условияДата актуализации: 01.06.2025
| ||||||||||||||||||||||||||||
| Обозначение: | ![]() ГОСТ Р 55783-2013 |
| Статус: | действующий |
| Название рус.: | Торпеды фугасные. Технические условия |
| Дата актуализации текста: | 01.06.2022 |
| Дата актуализации описания: | 01.07.2023 |
| Дата издания: | 21.05.2019 |
| Дата введения: | 01.06.2014 |
| Код ОКП: | 431600 |
| Нормативные ссылки: | ГОСТ Р 52108; ГОСТ 12.1.007; ГОСТ 12.1.010; ГОСТ 12.2.061; ГОСТ 20.39.108; ГОСТ 27.003; ГОСТ 2015; ГОСТ 2016; ГОСТ 9378; ГОСТ 14192-; ГОСТ 15150; ГОСТ 23170; ГОСТ 24297; ГОСТ 26319 |
| Область применения: | Настоящий стандарт распространяется на торпеды фугасные, представляющие собой изделия одноразового применения, предназначенные для обрыва, отвинчивания или встряхивания насосно-компрессорных, обсадных и бурильных труб при ликвидации аварий в скважинах, а также для разрушения металлических предметов, находящихся в скважине и препятствующих бурению либо эксплуатации скважины |
| Расположен в: | |















