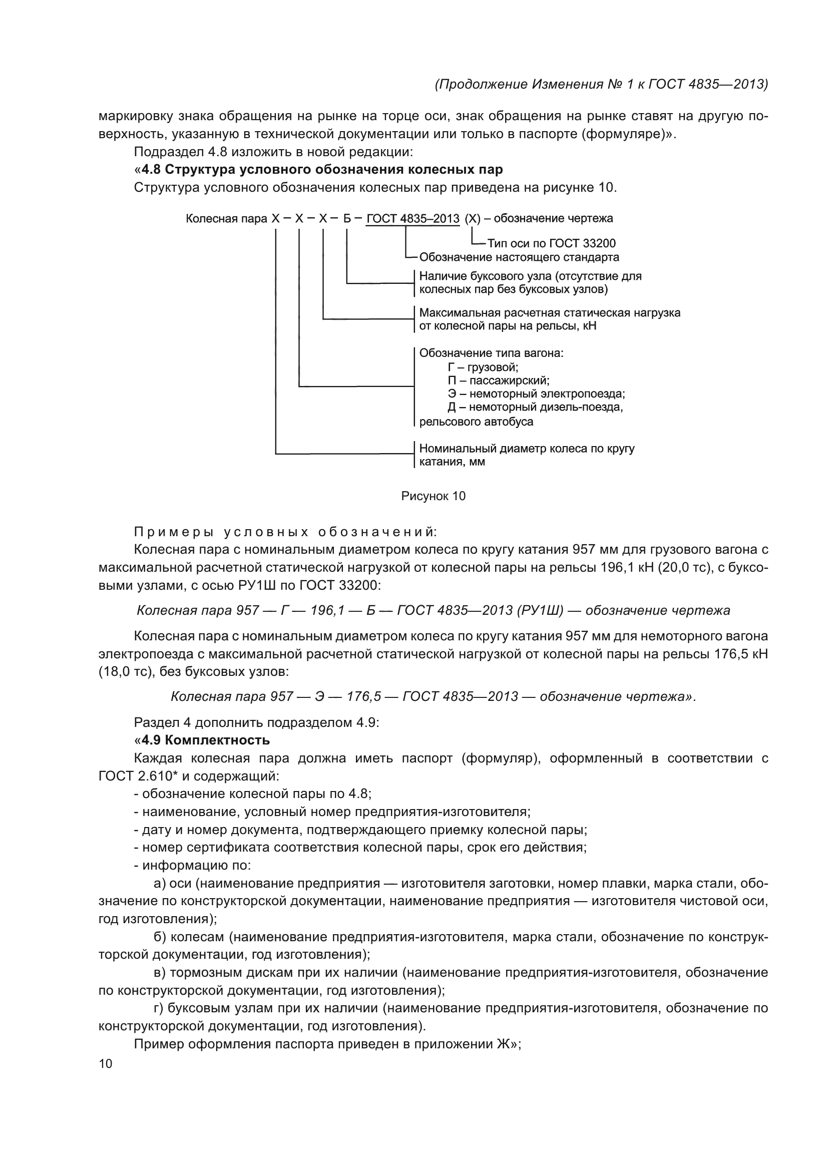
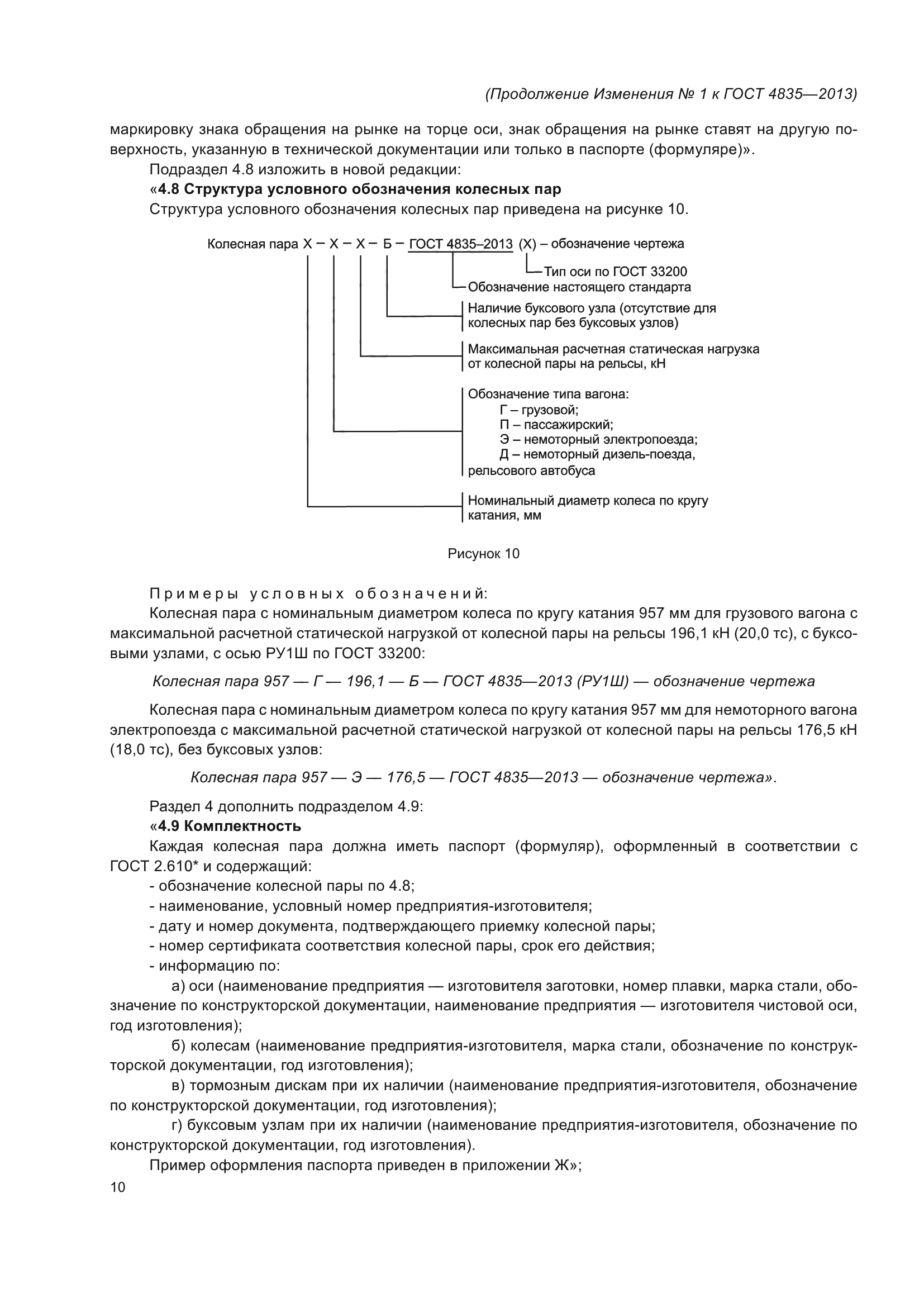
| ||||||||||||||||||||||||||||||||||||||||||||||||||||||||||
Скачать ГОСТ 4835-2013 Колесные пары железнодорожных вагонов. Технические условияДата актуализации: 01.06.2025
| ||||||||||||||||||||||||||||||||||||||||||||||||||||||||||
| Обозначение: | ![]() ГОСТ 4835-2013 |
| Статус: | действующий |
| Название рус.: | Колесные пары железнодорожных вагонов. Технические условия |
| Дата актуализации текста: | 01.01.2023 |
| Дата актуализации описания: | 01.07.2023 |
| Дата регистрации: | 28.08.2013 |
| Дата издания: | 20.05.2014 |
| Дата введения: | 01.07.2014 |
| Код ОКП: | 318381 |
| Взамен: | ГОСТ 4835-2006 |
| Нормативные ссылки: | ГОСТ 2.610-2006; ГОСТ 8.051-81; ГОСТ 9.014-78; ГОСТ 12.1.004-91; ГОСТ 12.1.005-88; ГОСТ 12.1.007-76; ГОСТ 12.2.003–91; ГОСТ 12.2.007.0-75; ГОСТ 12.3.002-75; ГОСТ 12.3.009-76; ГОСТ 15.309-98; ГОСТ 427-75; ГОСТ 520-2011; ГОСТ 577–68; ГОСТ 868-82; ГОСТ 1129–93; ГОСТ 2405-88; ГОСТ 2768-84; ГОСТ 2789-73; ГОСТ 3134-78; ГОСТ 3325–85; ГОСТ 5791-81; ГОСТ 7409-2009; ГОСТ 7931-76; ГОСТ 8828-89; ГОСТ 8989-73; ГОСТ 9378-93; ГОСТ 10054-82; ГОСТ 10791-2011; ГОСТ 10923-93; ГОСТ 11098-75; ГОСТ 13837-79; ГОСТ 15150-69; ГОСТ 18321-73; ГОСТ 22261-94; ГОСТ 23706-93; ГОСТ 31334-2007; ГОСТ Р 52465-2005; ГОСТ Р 2.610-2019; ГОСТ 10; ГОСТ 6507; ГОСТ 18572; ГОСТ 32769; ГОСТ 32894; ГОСТ 34385 |
| Область применения: | Настоящий стандарт устанавливает технические требования к колесным парам с буксовыми узлами и колесным блокам грузовых и пассажирских вагонов, немоторных вагонов моторвагонного подвижного соства (электропоездов, дизель-поездов и рельсовых автобусов) |
| Список изменений: | №0 от 29.12.2016 (рег. 29.12.2016) «Дата введения перенесена» |
| Приложение №1: | Изменение к ГОСТ 4835-2013. Поправка к изменению |
| Приложение №2: | Изменение №1 к ГОСТ 4835-2013 |
| Приложение №3: | Поправка к ГОСТ 4835-2013 |
| Приложение №4: | Поправка к ГОСТ 4835-2013 |
| Расположен в: | |


































































| Обозначение: | Изменение к ГОСТ 4835-2013. Поправка к изменению |
| Дата введения: | 19.05.2022 |

| Обозначение: | Изменение №1 к ГОСТ 4835-2013 |
| Дата введения: | 01.03.2022 |



























| Обозначение: | Поправка к ГОСТ 4835-2013 |
| Дата введения: | 29.12.2016 |

| Обозначение: | Поправка к ГОСТ 4835-2013 |
| Дата введения: | 15.10.2022 |
