| Обозначение: |  ГОСТ Р 55715-2013 |
| Статус: | действующий |
| Название рус.: | Телевидение вещательное цифровое. Оборудование цифровой вставки (сплайсинга) региональных программ в транспортный поток MPEG-2 вещательного телевидения. Основные параметры |
| Дата актуализации текста: | 01.01.2021 |
| Дата актуализации описания: | 01.07.2023 |
| Дата издания: | 15.07.2020 |
| Дата введения: | 01.09.2014 |
| Код ОКП: | 657400 |
| Нормативные ссылки: | ГОСТ Р 52210; ГОСТ Р 52591 |
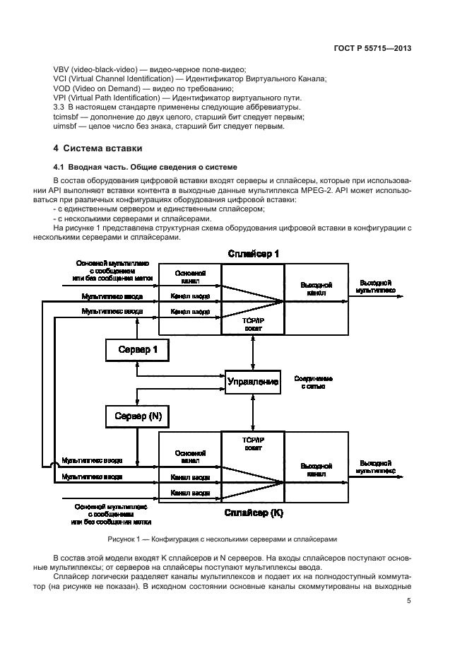
| Область применения: | Настоящий стандарт распространяется на оборудование цифровой вставки (сплайсинга) программ в транспортные потоки MPEG-2 вещательного телевидения. Настоящий стандарт устанавливает основные параметры оборудования цифровой вставки региональных программ в транспортные потоки MPEG-2, размещаемого на головных станциях (центрах) формирования программ вещания |
|
| Расположен в: |
|