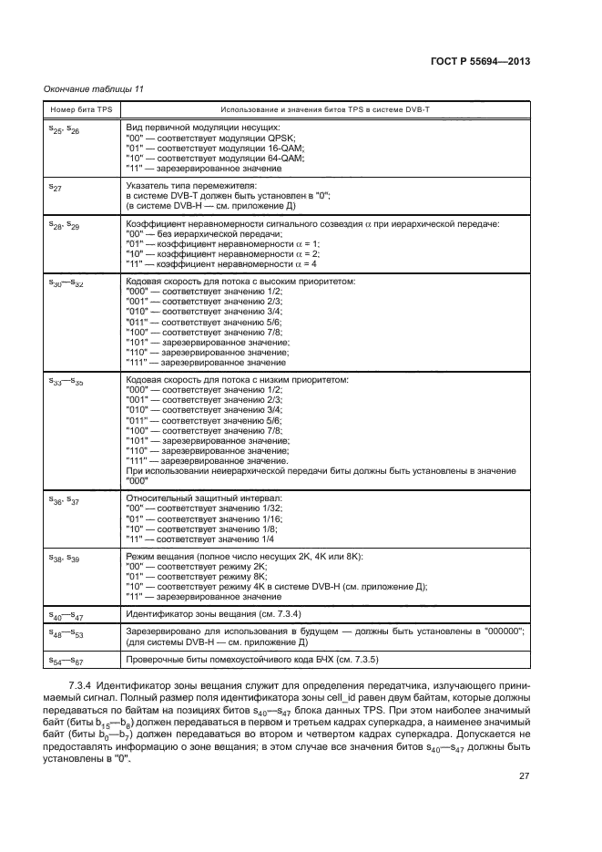
| Обозначение: |  ГОСТ Р 55694-2013 |
| Статус: | действующий |
| Название рус.: | Телевидение вещательное цифровое. Наземное цифровое телевизионное вещание. Структура цикловой синхронизации, методы кодирования для канала и модуляции |
| Дата актуализации текста: | 01.01.2021 |
| Дата актуализации описания: | 01.07.2023 |
| Дата издания: | 03.04.2020 |
| Дата введения: | 01.09.2014 |
| Нормативные ссылки: | ГОСТ Р 52210; ГОСТ Р 52591; ГОСТ Р 52593; ГОСТ 17657; ГОСТ 21879; ГОСТ 24375; ГОСТ 24402 |
| Область применения: | Настоящий стандарт распространяется на систему цифрового наземного (эфирного) телевизионного вещания DVB-T и устанавливает: - общее описание и структуру системы цифрового наземного (эфирного) телевизионного вещания; - методы канального кодирования и модуляции в системе цифрового наземного телевизионного вещания; - основные параметры системы цифрового наземного телевизионного вещания; - дополнительные требования к тракту системы цифрового наземного телевизионного вещания, позволяющие осуществить вещание сигналов мобильного телевидения DVB-H |
|
| Расположен в: |
|