| Обозначение: |  ГОСТ Р ИСО/МЭК 15408-3-2013 |
| Статус: | действующий |
| Название рус.: | Информационная технология. Методы и средства обеспечения безопасности. Критерии оценки безопасности информационных технологий. Часть 3. Компоненты доверия к безопасности |
| Дата актуализации текста: | 06.04.2015 |
| Дата актуализации описания: | 01.07.2023 |
| Дата издания: | 23.06.2014 |
| Дата введения: | 01.09.2014 |
| Взамен: | ГОСТ Р ИСО/МЭК 15408-3-2008 |
| Аутентичен стандартам: | ISO/IEC 15408-3:2008 |
| Нормативные ссылки: | ISO/IEC 15408-1;ISO/IEC 15408-2 |
| Область применения: | Данная часть ИСО/МЭК 15408 определяет требования доверия ИСО/МЭК 15408 и включает оценочные уровни доверия, определяющие шкалу для измерения доверия для ОО-компонентов, составные пакеты доверия, определяющие шкалу для измерения доверия для составных ОО, отдельные компоненты доверия, из которых составлены уровни и пакеты доверия, а также критерии для оценки ПЗ и ЗБ |
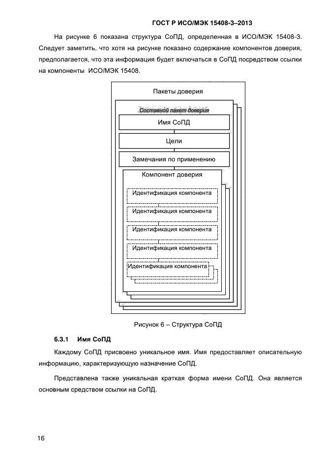
|
| Расположен в: |
|