Информационная система
«Ёшкин Кот»

Скачать базу одним архивом
Скачать обновления
История создания базы
Карта сайта

Скачать ГОСТ Р МЭК 62366-2013 Изделия медицинские. Проектирование медицинских изделий с учетом эксплуатационной пригодности

Дата актуализации: 01.06.2025

ГОСТ Р МЭК 62366-2013

Изделия медицинские. Проектирование медицинских изделий с учетом эксплуатационной пригодности

Обозначение: ГОСТ Р МЭК 62366-2013
Статус:заменён
Название рус.:Изделия медицинские. Проектирование медицинских изделий с учетом эксплуатационной пригодности
Дата актуализации текста:15.10.2015
Дата актуализации описания:01.07.2023
Дата издания:28.05.2015
Дата введения:01.01.2015
Дата окончания срока действия:01.10.2022
Код ОКП:940000
Заменяющий:ГОСТ Р МЭК 62366-1-2021
Аутентичен стандартам:IEC 62366(2007)
Нормативные ссылки:ISO 14971:2007
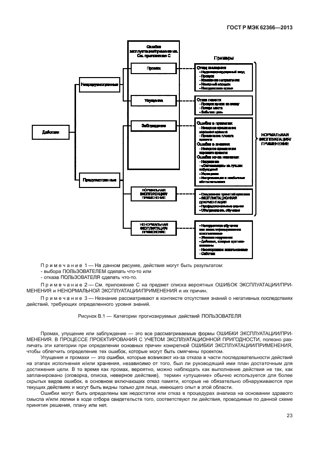
Область применения:Настоящий стандарт устанавливает процесс, выполняемый изготовителем для анализа, определения, разработки, верификации и валидации эксплуатационной пригодности в части, имеющей отношение к безопасности медицинских изделий. процесс проектирования с учетом эксплуатационной пригодности направлен на оценку и снижение рисков, вызванных проблемами с эксплуатационной пригодностью и связанных с корректной эксплуатацией/применением и ошибками эксплуатации/применения, т.е. с нормальной эксплуатацией/применением. Настоящий стандарт может применяться для определения, но не оценки и снижения рисков, связанных с ненормальной эксплуатацией/применением. Настоящий стандарт не применяется для принятия клинических решений, касающихся использования медицинских изделий
Расположен в:Государственные стандарты Общероссийский классификатор стандартов Здравоохранение Медицинское оборудование Классификатор государственных стандартов Здравоохранение. Предметы санитарии и гигиены Оборудование и инструмент медицинских учреждений Классификация, номенклатура и общие нормы Окп Медицинская техника
ГОСТ Р МЭК 62366-2013ГОСТ Р МЭК 62366-2013ГОСТ Р МЭК 62366-2013ГОСТ Р МЭК 62366-2013ГОСТ Р МЭК 62366-2013ГОСТ Р МЭК 62366-2013ГОСТ Р МЭК 62366-2013ГОСТ Р МЭК 62366-2013ГОСТ Р МЭК 62366-2013ГОСТ Р МЭК 62366-2013ГОСТ Р МЭК 62366-2013ГОСТ Р МЭК 62366-2013ГОСТ Р МЭК 62366-2013ГОСТ Р МЭК 62366-2013ГОСТ Р МЭК 62366-2013ГОСТ Р МЭК 62366-2013ГОСТ Р МЭК 62366-2013ГОСТ Р МЭК 62366-2013ГОСТ Р МЭК 62366-2013ГОСТ Р МЭК 62366-2013ГОСТ Р МЭК 62366-2013ГОСТ Р МЭК 62366-2013ГОСТ Р МЭК 62366-2013ГОСТ Р МЭК 62366-2013ГОСТ Р МЭК 62366-2013ГОСТ Р МЭК 62366-2013ГОСТ Р МЭК 62366-2013ГОСТ Р МЭК 62366-2013ГОСТ Р МЭК 62366-2013ГОСТ Р МЭК 62366-2013ГОСТ Р МЭК 62366-2013ГОСТ Р МЭК 62366-2013ГОСТ Р МЭК 62366-2013ГОСТ Р МЭК 62366-2013ГОСТ Р МЭК 62366-2013ГОСТ Р МЭК 62366-2013ГОСТ Р МЭК 62366-2013ГОСТ Р МЭК 62366-2013ГОСТ Р МЭК 62366-2013ГОСТ Р МЭК 62366-2013ГОСТ Р МЭК 62366-2013ГОСТ Р МЭК 62366-2013ГОСТ Р МЭК 62366-2013ГОСТ Р МЭК 62366-2013ГОСТ Р МЭК 62366-2013ГОСТ Р МЭК 62366-2013ГОСТ Р МЭК 62366-2013ГОСТ Р МЭК 62366-2013ГОСТ Р МЭК 62366-2013ГОСТ Р МЭК 62366-2013ГОСТ Р МЭК 62366-2013ГОСТ Р МЭК 62366-2013ГОСТ Р МЭК 62366-2013ГОСТ Р МЭК 62366-2013ГОСТ Р МЭК 62366-2013ГОСТ Р МЭК 62366-2013ГОСТ Р МЭК 62366-2013ГОСТ Р МЭК 62366-2013ГОСТ Р МЭК 62366-2013ГОСТ Р МЭК 62366-2013ГОСТ Р МЭК 62366-2013ГОСТ Р МЭК 62366-2013ГОСТ Р МЭК 62366-2013ГОСТ Р МЭК 62366-2013ГОСТ Р МЭК 62366-2013ГОСТ Р МЭК 62366-2013ГОСТ Р МЭК 62366-2013ГОСТ Р МЭК 62366-2013ГОСТ Р МЭК 62366-2013ГОСТ Р МЭК 62366-2013ГОСТ Р МЭК 62366-2013ГОСТ Р МЭК 62366-2013ГОСТ Р МЭК 62366-2013ГОСТ Р МЭК 62366-2013ГОСТ Р МЭК 62366-2013ГОСТ Р МЭК 62366-2013ГОСТ Р МЭК 62366-2013ГОСТ Р МЭК 62366-2013ГОСТ Р МЭК 62366-2013ГОСТ Р МЭК 62366-2013ГОСТ Р МЭК 62366-2013ГОСТ Р МЭК 62366-2013ГОСТ Р МЭК 62366-2013ГОСТ Р МЭК 62366-2013ГОСТ Р МЭК 62366-2013ГОСТ Р МЭК 62366-2013ГОСТ Р МЭК 62366-2013ГОСТ Р МЭК 62366-2013ГОСТ Р МЭК 62366-2013ГОСТ Р МЭК 62366-2013

© 2013 Ёшкин Кот :-) Карта сайта