| Обозначение: |  ГОСТ Р 54418.25.5-2013 |
| Статус: | действующий |
| Название рус.: | Возобновляемая энергетика. Ветроэнергетика. Установки ветроэнергетические. Часть 25-5. Коммуникации для текущего контроля и управления ветровыми электростанциями. Проверка соответствия техническим требованиям |
| Дата актуализации текста: | 01.01.2021 |
| Дата актуализации описания: | 01.07.2023 |
| Дата издания: | 14.11.2014 |
| Дата введения: | 01.07.2015 |
| Содержит требования: | IEC 61400-25-5(2006) |
| Нормативные ссылки: | ГОСТ Р ИСО/МЭК 9646-1-93; ГОСТ Р 51237–98; ГОСТ Р МЭК 61850-7-1-2009; ГОСТ Р МЭК 61850-7-2-2009; ГОСТ Р МЭК 61850-7-4-2011; ГОСТ 15971-90 |
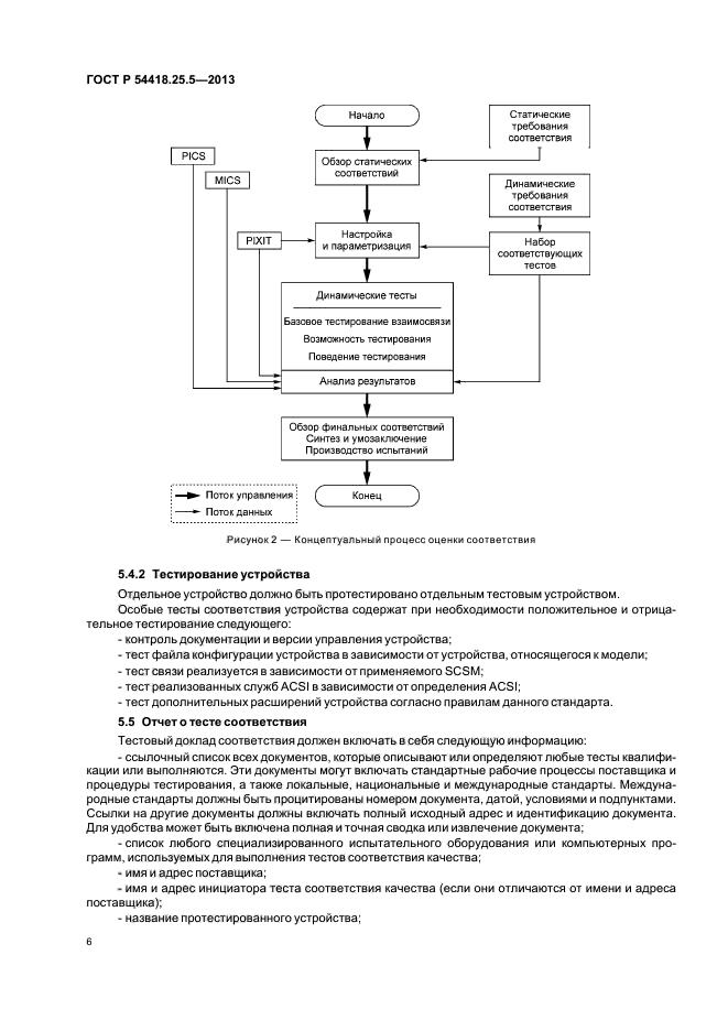
| Область применения: | Настоящий стандарт устанавливает процедуры испытаний (тестирования), которые должны быть проведены для определения соответствия коммуникационной системы ветровой электростанции требованиям стандарта |
|
| Расположен в: |
|