Информационная система
«Ёшкин Кот»

Скачать базу одним архивом
Скачать обновления
История создания базы
Карта сайта

Скачать ГОСТ Р ИСО 13937-4-2012 Материалы текстильные. Прочность ткани на раздирание. Часть 4. Определение усилия на раздирания для испытуемых образцов в форме языка (метод двойного раздирания)

Дата актуализации: 01.06.2025

ГОСТ Р ИСО 13937-4-2012

Материалы текстильные. Прочность ткани на раздирание. Часть 4. Определение усилия на раздирания для испытуемых образцов в форме языка (метод двойного раздирания)

Обозначение: ГОСТ Р ИСО 13937-4-2012
Статус:действующий
Название рус.:Материалы текстильные. Прочность ткани на раздирание. Часть 4. Определение усилия на раздирания для испытуемых образцов в форме языка (метод двойного раздирания)
Дата актуализации текста:01.08.2015
Дата актуализации описания:01.07.2023
Дата издания:01.04.2015
Дата введения:01.01.2016
Аутентичен стандартам:ISO 13937-4:2000
Нормативные ссылки:ISO 139:2005;ISO 7500-1:2004;ISO 10012:2003
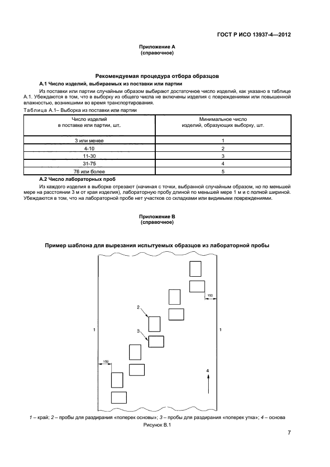
Область применения:Настоящий стандарт устанавливает требования к методу определения прочности ткани на раздирание с помощью метода двойного раздирания, известного как метод испытания образцов в форме языка. Измеряемое усилие раздирания является усилием, необходимым для продолжения заранее подготовленного раздирания. Настоящее испытание в основном предназначено для тканей. Оно может применяться к материалам, произведенным по другим технологиям, например, некоторым нетканым полотнам (с теми же упомянутыми ниже ограничениями, что и для тканых материалов)
Расположен в:Государственные стандарты Общероссийский классификатор стандартов Текстильное и кожевенное производство Изделия текстильной промышленности Текстильные изделия Классификатор государственных стандартов Текстильные и кожевенные материалы и изделия Общие правила и нормы по легкой промышленности Методы испытаний. Упаковка. Маркировка
ГОСТ Р ИСО 13937-4-2012ГОСТ Р ИСО 13937-4-2012ГОСТ Р ИСО 13937-4-2012ГОСТ Р ИСО 13937-4-2012ГОСТ Р ИСО 13937-4-2012ГОСТ Р ИСО 13937-4-2012ГОСТ Р ИСО 13937-4-2012ГОСТ Р ИСО 13937-4-2012ГОСТ Р ИСО 13937-4-2012ГОСТ Р ИСО 13937-4-2012ГОСТ Р ИСО 13937-4-2012ГОСТ Р ИСО 13937-4-2012

© 2013 Ёшкин Кот :-) Карта сайта