| Обозначение: |  ГОСТ Р ИСО 10572-2012 |
| Статус: | действующий |
| Название рус.: | Канаты из смешанных полиолефиновых волокон. Общие технические требования |
| Дата актуализации текста: | 01.08.2015 |
| Дата актуализации описания: | 01.07.2023 |
| Дата издания: | 25.05.2015 |
| Дата введения: | 01.01.2016 |
| Аутентичен стандартам: | ISO 10572:2009 |
| Нормативные ссылки: | ISO 1968:2004;ISO 2307:2010;ISO 9554:2010 |
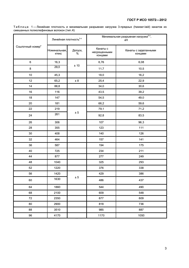
| Область применения: | Настоящий стандарт распространяется на 3-прядные (hawser-laid), 4-прядные (shroud-laid), 8-прядные плетеные и 12-прядные плетеные канаты, изготовленные из смешанных полиолефиновых волокон, и устанавливает общие технические требования к ним и правила их обозначения |
|
| Расположен в: |
|