| Обозначение: |  ГОСТ Р 55527-2013 |
| Статус: | отменён |
| Название рус.: | Ограждающие конструкции помещений железнодорожного подвижного состава. Методы испытаний по определению теплотехнических показателей |
| Дата актуализации текста: | 01.01.2021 |
| Дата актуализации описания: | 01.07.2023 |
| Дата издания: | 28.08.2014 |
| Дата введения: | 01.07.2014 |
| Дата окончания срока действия: | 01.10.2016 |
| Код ОКП: | 318000 |
| На территории РФ пользоваться: | ГОСТ 33661-2015 |
| Нормативные ссылки: | ГОСТ Р 8.568-97; ГОСТ Р 15.201-2000; ГОСТ Р 55057-2012; ГОСТ 8.207-76; ГОСТ 12.0.004-90; ГОСТ 12.2.007.0-75; ГОСТ 15.309-98; ГОСТ 1770-74; ГОСТ 7502-98; ГОСТ 16504-81; ГОСТ 27570.0-87 |
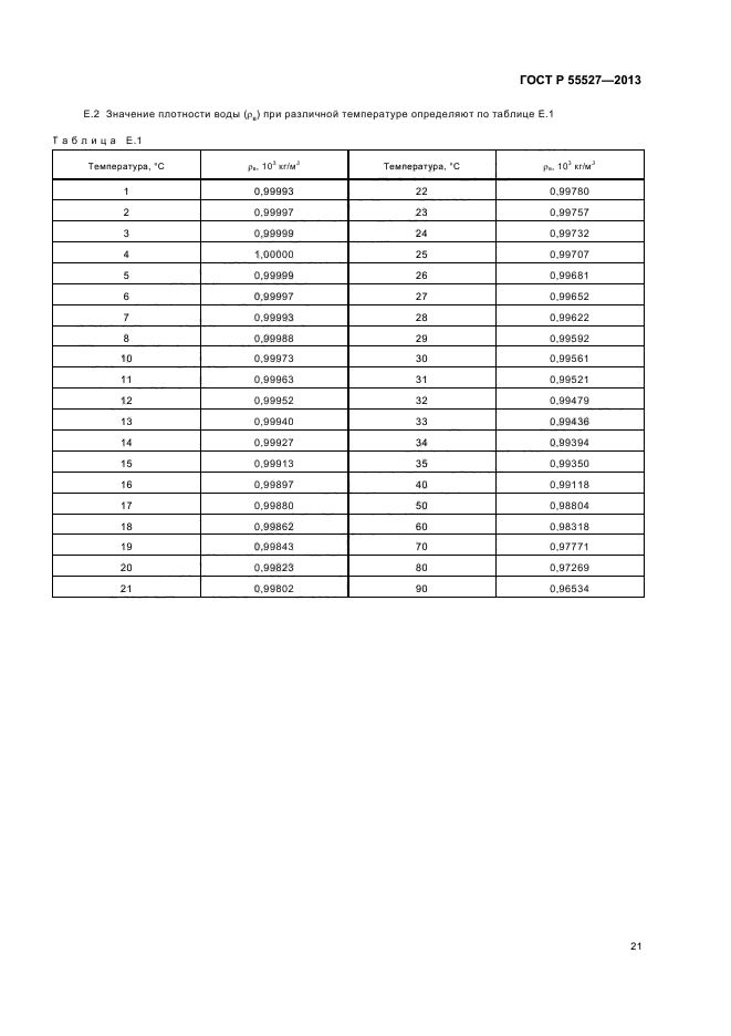
| Область применения: | Настоящий стандарт распространяется на огрждающие конструкции помещений железнодорожного подвижнжого состава и устанавливает методы испытаний по определению среднего коэффициента теплопередачи ограждений помещений и температурного коэффициента герметичности помещений |
| Список изменений: | №0 от 30.09.2016 (рег. 15.01.2016) «Текстовое изменение; Изменено заглавие» |
|
| Расположен в: |
|