| Обозначение: |  ГОСТ Р ИСО 15531-44-2012 |
| Статус: | действующий |
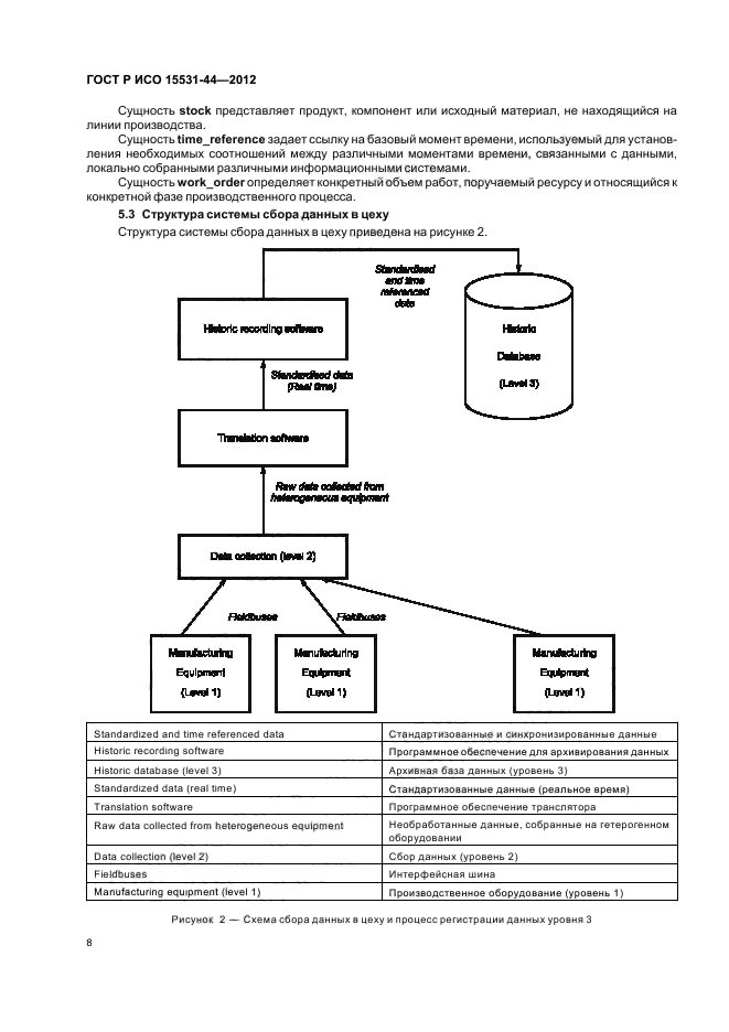
| Название рус.: | Системы промышленной автоматизации и интеграция. Данные по управлению промышленным производством. Часть 44. Моделирование сбора цеховых данных |
| Дата актуализации текста: | 06.04.2015 |
| Дата актуализации описания: | 01.07.2023 |
| Дата издания: | 20.05.2020 |
| Дата введения: | 01.01.2014 |
| Аутентичен стандартам: | ISO 15531-44:2010 |
| Нормативные ссылки: | ISO 10303-11;ISO 13584-1;ISO 13584-24;ISO 15531-1;ISO 15531-31;ISO 15531-32;ISO 15531-42;ISO 15531-43 |
| Область применения: | Настоящий стандарт устанавливает процедуру моделирования данных, собранных на уровне мониторинга. Эти данные хранятся на уровне управления производством. Они могут обрабатываться далее на указанном уровне в заданных производственных целях. Настоящий стандарт распространяется на: - данные для количественных и качественных оценок, собранные системой сбора данных на уровне мониторинга. Эти данные хранятся на уровне управления производством и используются далее в производственных целях; - фиксацию момента времени и измерение интервалов времени для получения данных мониторинга и управления производством. Настоящий стандарт не распространяется на: - данные, связанные с дистанционным измерением или управлением в реальном времени; - данные идентификации продукта в соответствии с ИСО 10303 (см. также ИСО 10303-1); - данные каталогов и библиотек в соответствии с ИСО 13584 и ИСО 15926; - данные мониторинга, используемые только на уровне мониторинга (исключая управление производством). |
|
| Расположен в: |
|