Информационная система
«Ёшкин Кот»

Скачать базу одним архивом
Скачать обновления
История создания базы
Карта сайта

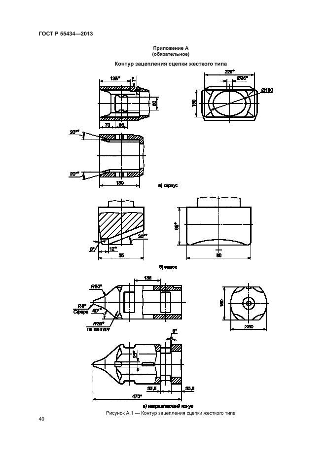
Скачать ГОСТ Р 55434-2013 Электропоезда. Общие технические требования

Дата актуализации: 01.06.2025

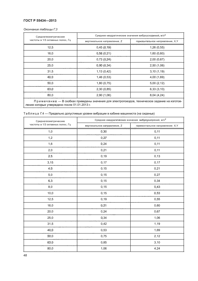
ГОСТ Р 55434-2013

Электропоезда. Общие технические требования

Обозначение: ГОСТ Р 55434-2013
Статус:действующий
Название рус.:Электропоезда. Общие технические требования
Дата актуализации текста:01.01.2021
Дата актуализации описания:01.07.2023
Дата издания:13.03.2014
Дата введения:01.01.2014
Код ОКП:318352
Отменен в части:Отменен в части требований пункта 10.6 и приложения К
Нормативные ссылки:ГОСТ Р 15.201-2000;ГОСТ Р 50602-93;ГОСТ Р 50955-96;ГОСТ Р 51079-2006;ГОСТ Р 51090-97;ГОСТ Р 51261-99;ГОСТ Р 51317.6.2-2007;ГОСТ Р 51904-2002;ГОСТ Р 52169-2003;ГОСТ Р 53336-2009;ГОСТ Р 53784-2010;ГОСТ Р 53977-2010;ГОСТ Р 54334-2011;ГОСТ Р 54434-2011;ГОСТ Р 54798-2011;ГОСТ Р 54893-2012;ГОСТ Р 55050-2012;ГОСТ Р ИСО 7176-5-2010;ГОСТ 2.004-88;ГОСТ 2.102-68;ГОСТ 2.601-2006;ГОСТ 2.602-95;ГОСТ 12.0.003-74;ГОСТ 12.1.004-91;ГОСТ 12.1.019-2009;ГОСТ 12.1.044-89;ГОСТ 12.2.056-81;ГОСТ 1561-75;ГОСТ 2582-81;ГОСТ 2593-2009;ГОСТ 4835-2006;ГОСТ 5727-88;ГОСТ 8865-93;ГОСТ 9219-88;ГОСТ 9238-83;ГОСТ 10393-2009;ГОСТ 11018-2000;ГОСТ 12766.2-90;ГОСТ 14254-96;ГОСТ 15150-69;ГОСТ 16350-80;ГОСТ 18620-86;ГОСТ 21128-83;ГОСТ 21447-75;ГОСТ 26656-85;ГОСТ 28186-89;ГОСТ 28465-90;ГОСТ 30487-97;ГОСТ 30631-99;ГОСТ 31373-2008
Область применения:Настоящий стандарт распространяется на электропоезда для перевозки пассажиров и багажа, а также на электропоезда служебно-технического назначения, предназначенные для эксплуатации на электрифицированных участках железнодорожных линий с шириной колеи 1520 мм и устанавливает общие технические требования к ним
Приложение №1:Поправка к ГОСТ Р 55434-2013
Расположен в:Государственные стандарты Общероссийский классификатор стандартов Железнодорожная техника Подвижной состав железных дорог Тяговый состав Классификатор государственных стандартов Транспортные средства и тара Железнодорожный транспорт Локомотивы Окп Продукция тяжелого, энергетического и транспортного машиностроения Оборудование и подвижной состав железных дорог Вагоны широкой колеи для промышленности, вагоны узкой колеи, вагоны пассажирские магистральные, вагоны городского транспорта Вагоны пассажирские магистральные / - электропоездов
ГОСТ Р 55434-2013ГОСТ Р 55434-2013ГОСТ Р 55434-2013ГОСТ Р 55434-2013ГОСТ Р 55434-2013ГОСТ Р 55434-2013ГОСТ Р 55434-2013ГОСТ Р 55434-2013ГОСТ Р 55434-2013ГОСТ Р 55434-2013ГОСТ Р 55434-2013ГОСТ Р 55434-2013ГОСТ Р 55434-2013ГОСТ Р 55434-2013ГОСТ Р 55434-2013ГОСТ Р 55434-2013ГОСТ Р 55434-2013ГОСТ Р 55434-2013ГОСТ Р 55434-2013ГОСТ Р 55434-2013ГОСТ Р 55434-2013ГОСТ Р 55434-2013ГОСТ Р 55434-2013ГОСТ Р 55434-2013ГОСТ Р 55434-2013ГОСТ Р 55434-2013ГОСТ Р 55434-2013ГОСТ Р 55434-2013ГОСТ Р 55434-2013ГОСТ Р 55434-2013ГОСТ Р 55434-2013ГОСТ Р 55434-2013ГОСТ Р 55434-2013ГОСТ Р 55434-2013ГОСТ Р 55434-2013ГОСТ Р 55434-2013ГОСТ Р 55434-2013ГОСТ Р 55434-2013ГОСТ Р 55434-2013ГОСТ Р 55434-2013ГОСТ Р 55434-2013ГОСТ Р 55434-2013ГОСТ Р 55434-2013ГОСТ Р 55434-2013ГОСТ Р 55434-2013ГОСТ Р 55434-2013ГОСТ Р 55434-2013ГОСТ Р 55434-2013ГОСТ Р 55434-2013ГОСТ Р 55434-2013ГОСТ Р 55434-2013ГОСТ Р 55434-2013ГОСТ Р 55434-2013ГОСТ Р 55434-2013ГОСТ Р 55434-2013ГОСТ Р 55434-2013ГОСТ Р 55434-2013ГОСТ Р 55434-2013ГОСТ Р 55434-2013ГОСТ Р 55434-2013ГОСТ Р 55434-2013

Поправка к ГОСТ Р 55434-2013

Обозначение:Поправка к ГОСТ Р 55434-2013
Дата введения:02.09.2014


Поправка к ГОСТ Р 55434-2013

© 2013 Ёшкин Кот :-) Карта сайта