Информационная система
«Ёшкин Кот»

Скачать базу одним архивом
Скачать обновления
История создания базы
Карта сайта

Скачать ГОСТ Р 54922-2012 Концентраты цинковые. Технические условия

Дата актуализации: 01.06.2025

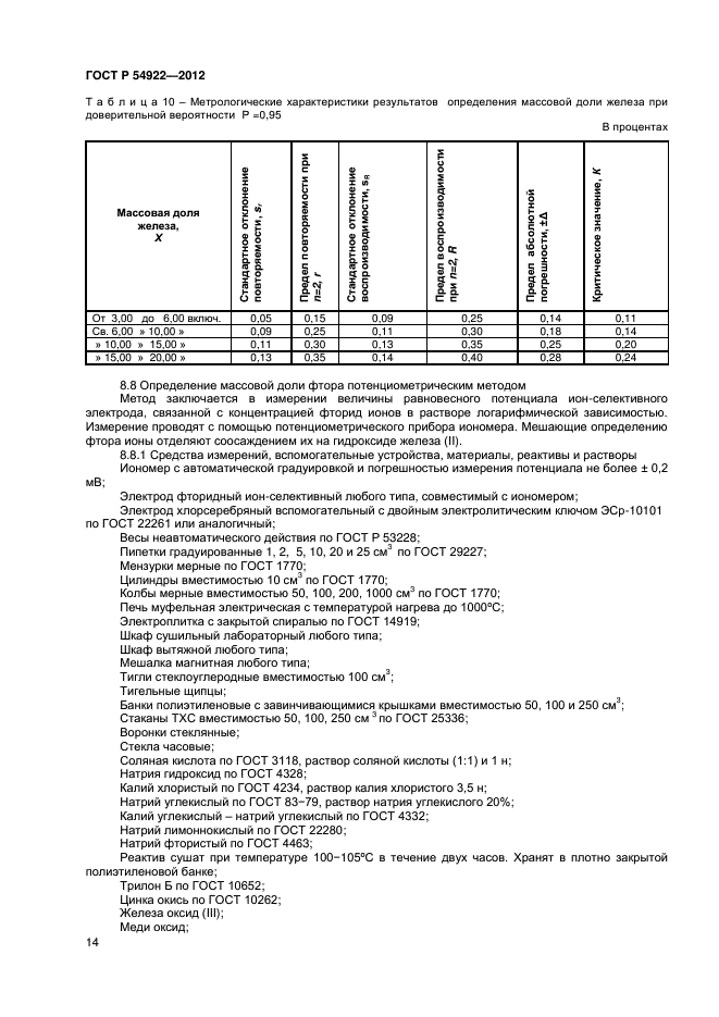
ГОСТ Р 54922-2012

Концентраты цинковые. Технические условия

Обозначение: ГОСТ Р 54922-2012
Статус:действующий
Название рус.:Концентраты цинковые. Технические условия
Дата актуализации текста:01.01.2021
Дата актуализации описания:01.07.2023
Дата издания:01.08.2014
Дата введения:01.07.2014
Код ОКП:172111
Нормативные ссылки:ГОСТ Р 8.563-96;ГОСТ Р 12.4.013-97;ГОСТ Р 12.4.187-97;ГОСТ Р 52124-2003;ГОСТ Р 52144-2003;ГОСТ Р 53198-2008;ГОСТ Р 53228-2008;ГОСТ 12.0.004-90;ГОСТ 12.3.009-76;ГОСТ 12.4.009-83;ГОСТ 12.4.010-75;ГОСТ 12.4.021-75;ГОСТ 12.4.028-76;ГОСТ 12.4.099-80;ГОСТ 12.4.100-80;ГОСТ 12.4.103-83;ГОСТ 17.2.3.01-86;ГОСТ 17.2.3.02-78;ГОСТ 83-79;ГОСТ 515-77;ГОСТ 2228-81;ГОСТ 4234-77;ГОСТ 7933-89;ГОСТ 8828-89;ГОСТ 9347-74;ГОСТ 10262-73;ГОСТ 10354-82;ГОСТ 10652-73;ГОСТ 13170-80;ГОСТ 13610-79;ГОСТ 14048.1-93;ГОСТ 14048.2-78;ГОСТ 14048.4-78;ГОСТ 14048.5-78;ГОСТ 14048.7-80;ГОСТ 14180-80;ГОСТ 14192-96;ГОСТ 17269-71;ГОСТ 19433-88;ГОСТ 20010-93;ГОСТ 20448-90;ГОСТ 22235-2010;ГОСТ 22261-94;ГОСТ 22280-76;ГОСТ 24598-81;ГОСТ 25363-87;ГОСТ 27574-87;ГОСТ 27575-87;ГОСТ 29057-91;ГОСТ 29058-91;ГОСТ 29227-91;ГОСТ 30302-95;ГОСТ 12.1.004-91;ГОСТ 12.1.005-88;ГОСТ 12.1.007-76;ГОСТ 12.1.016-79;ГОСТ 12.1.030-81;ГОСТ 12.2.007.0-75;ГОСТ 12.3.019-80;ГОСТ 1770-74;ГОСТ 3118-77;ГОСТ 4233-77;ГОСТ 4328-77;ГОСТ 4463-77;ГОСТ 6613-86;ГОСТ 6709-72;ГОСТ 14919-83;ГОСТ 25336-82;ГОСТ Р ИСО 5725-1-2002;ГОСТ Р ИСО 5725-2-2002;ГОСТ Р ИСО 5725-3-2002;ГОСТ Р ИСО 5725-4-2002;ГОСТ Р ИСО 5725-6-2002;ГОСТ Р 50571.3-2009
Область применения:Настоящий стандарт распространяется на цинковые концентраты, получаемые при обогащении цинкосодержащих руд цветных металлов и предназначенные для извлечения цинка и сопутствующих ему ценных компонентов
Расположен в:Государственные стандарты Общероссийский классификатор стандартов Металлургия Цветные металлы Медь и медные сплавы Классификатор государственных стандартов Горное дело. Полезные ископаемые Металлические ископаемые Руды и концентраты цветных металлов Окп Металлы цветные, их сырье, сплавы и соединения Металлы тяжелые легкоплавкие, их сырье, сплавы и соединения Цинк, его сырье и сплавы, кадмий Сырье цинка Концентрат цинковый
ГОСТ Р 54922-2012ГОСТ Р 54922-2012ГОСТ Р 54922-2012ГОСТ Р 54922-2012ГОСТ Р 54922-2012ГОСТ Р 54922-2012ГОСТ Р 54922-2012ГОСТ Р 54922-2012ГОСТ Р 54922-2012ГОСТ Р 54922-2012ГОСТ Р 54922-2012ГОСТ Р 54922-2012ГОСТ Р 54922-2012ГОСТ Р 54922-2012ГОСТ Р 54922-2012ГОСТ Р 54922-2012ГОСТ Р 54922-2012ГОСТ Р 54922-2012ГОСТ Р 54922-2012ГОСТ Р 54922-2012ГОСТ Р 54922-2012ГОСТ Р 54922-2012ГОСТ Р 54922-2012ГОСТ Р 54922-2012

© 2013 Ёшкин Кот :-) Карта сайта