| ||||||||||||||||||||||||||
Скачать ГОСТ Р 53556.1-2012 Звуковое вещание цифровое. Кодирование сигналов звукового вещания с сокращением избыточности для передачи по цифровым каналам связи. Часть 3 (MPEG-4 audio). Общие требования к кодированиюДата актуализации: 01.06.2025
| ||||||||||||||||||||||||||
| Обозначение: | ![]() ГОСТ Р 53556.1-2012 |
| Статус: | действующий |
| Название рус.: | Звуковое вещание цифровое. Кодирование сигналов звукового вещания с сокращением избыточности для передачи по цифровым каналам связи. Часть 3 (MPEG-4 audio). Общие требования к кодированию |
| Дата актуализации текста: | 01.01.2021 |
| Дата актуализации описания: | 01.07.2023 |
| Дата издания: | 05.02.2014 |
| Дата введения: | 01.09.2013 |
| Нормативные ссылки: | ГОСТ Р 54711-2011; ГОСТ Р 54712-2011; ГОСТ Р 54713-2011; ГОСТ Р 5355.0-2009; ГОСТ Р 52742-2007; ГОСТ Р 53537-2009; ГОСТ 27667-88; ГОСТ 28376-89 |
| Область применения: | Показатели, определенные настоящим документом, являются базовыми для профессиональной и бытовой аппаратуры - проигрывателей компакт-дисков, усилителей сигналов звуковой частоты и другого оборудования класса Hi-Fi. Универсальная и совместимая многоканальная звуковая система применима для спутникового и наземного телевизионного вещания, цифрового звукового вещания (наземного и спутникового) |
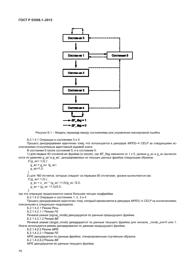
| Расположен в: | |































































































