Информационная система
«Ёшкин Кот»

Скачать базу одним архивом
Скачать обновления
История создания базы
Карта сайта

Скачать ГОСТ Р ИСО 24502-2012 Эргономическое проектирование. Требования к яркости и контрастности цветных источников света для людей различных возрастных категорий

Дата актуализации: 01.06.2025

ГОСТ Р ИСО 24502-2012

Эргономическое проектирование. Требования к яркости и контрастности цветных источников света для людей различных возрастных категорий

Обозначение: ГОСТ Р ИСО 24502-2012
Статус:действующий
Название рус.:Эргономическое проектирование. Требования к яркости и контрастности цветных источников света для людей различных возрастных категорий
Дата актуализации текста:06.04.2015
Дата актуализации описания:01.07.2023
Дата издания:27.09.2019
Дата введения:01.12.2013
Аутентичен стандартам:ISO 24502:2010
Нормативные ссылки:ISO 3864-1;ISO 3864-4;ISO 9241-302:2008;ISO 9241-303:2008;ISO 23539;ISO 9241-303:2011;CIE 15.2:1986;CIE 17.4:1987
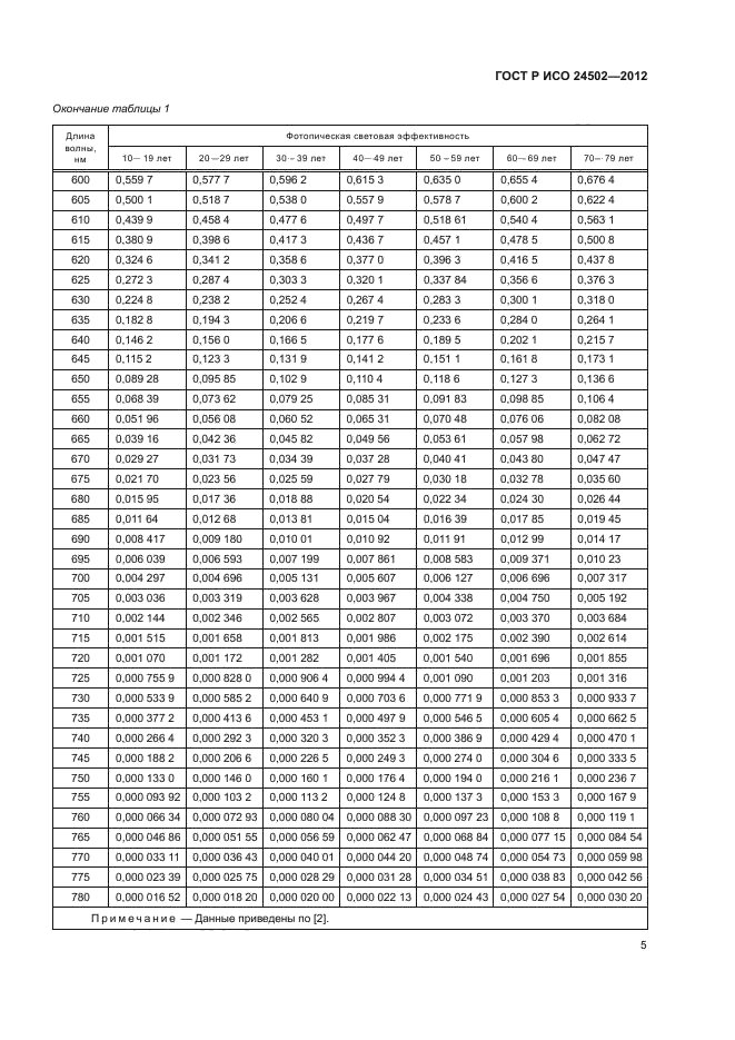
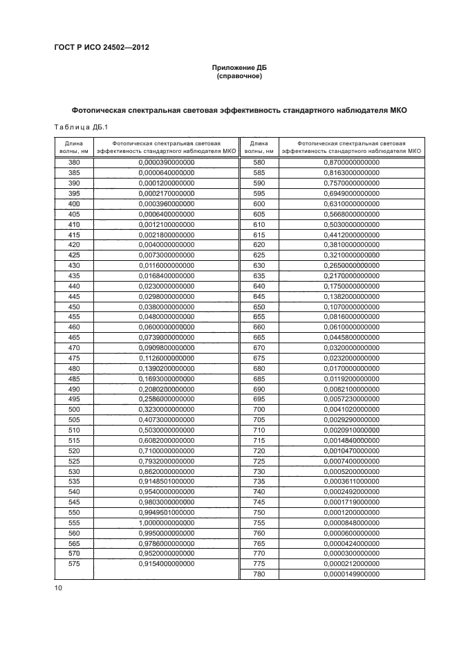
Область применения:Настоящий стандарт устанавливает требования к яркости и контрастности источников света различных цветов, видимых человеком, связанных с возрастными изменениями спектральной световой эффективности глаза. Настоящий стандарт устанавливает основной метод вычисления связанного с возрастом яркостного контраста, который может быть использован при проектировании источников света, визуальных знаков и дисплеев. Стандарт также может быть применен к самосветящемуся или отраженному свету визуальных знаков и дисплеев, наблюдаемому в условиях умеренной яркости (дневное, фотопическое зрение), спектральная плотность энергетической яркости которого известна или может быть измерена
Расположен в:Государственные стандарты Общероссийский классификатор стандартов Здравоохранение Средства помощи для лиц с физическими недостатками и увечьями Средства помощи для слепых и людей с ослабленным зрением Охрана окружающей среды, защита человека от воздействия окружающей среды. Безопасность Эргономика Классификатор государственных стандартов Электронная техника, радиоэлектроника и связь Машины электронные вычислительные, устройства и приборы к ним Устройства для электронных вычислительных машин
ГОСТ Р ИСО 24502-2012ГОСТ Р ИСО 24502-2012ГОСТ Р ИСО 24502-2012ГОСТ Р ИСО 24502-2012ГОСТ Р ИСО 24502-2012ГОСТ Р ИСО 24502-2012ГОСТ Р ИСО 24502-2012ГОСТ Р ИСО 24502-2012ГОСТ Р ИСО 24502-2012ГОСТ Р ИСО 24502-2012ГОСТ Р ИСО 24502-2012ГОСТ Р ИСО 24502-2012ГОСТ Р ИСО 24502-2012ГОСТ Р ИСО 24502-2012ГОСТ Р ИСО 24502-2012ГОСТ Р ИСО 24502-2012

© 2013 Ёшкин Кот :-) Карта сайта