| Обозначение: |  ГОСТ Р ИСО 11171-2012 |
| Статус: | действующий |
| Название рус.: | Гидропривод объемный. Калибровка автоматических счетчиков частиц в жидкости |
| Дата актуализации текста: | 06.04.2015 |
| Дата актуализации описания: | 01.07.2023 |
| Дата издания: | 27.09.2019 |
| Дата введения: | 01.12.2013 |
| Аутентичен стандартам: | ISO 11171:2010 |
| Нормативные ссылки: | ISO 3722;ISO 5598;ISO 12103-1;ISO 16889;ISO 21501-3 |
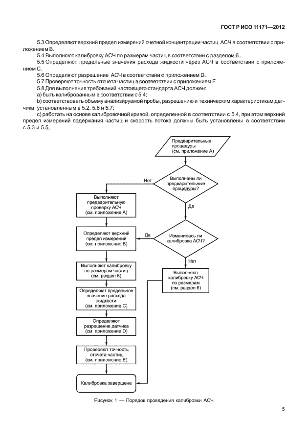
| Область применения: | Настоящий стандарт устанавливает методики: - первичной калибровки АСЧ по размерам частиц, определения разрешения датчика и характеристик подсчета частиц с помощью АСЧ в жидкостях с возможностью анализа проб из бутылей; - вторичной калибровки АСЧ по размерам частиц с использованием суспензий, аттестованных с помощью АСЧ, прошедших первичную калибровку; - установление приемлемого режима работы АСЧ и определения предельных значений его характеристик; - проверки на соответствие характеристик датчика с использованием частиц измельченной тестовой пыли; - определение пределов измерений содержания частиц и задания скорости потока из-за совпадений |
|
| Расположен в: |
|