| Обозначение: |  ГОСТ Р ИСО 24153-2012 |
| Статус: | действующий |
| Название рус.: | Статистические методы. Процедуры рандомизации и отбора случайной выборки |
| Дата актуализации текста: | 06.04.2015 |
| Дата актуализации описания: | 01.07.2023 |
| Дата издания: | 20.10.2020 |
| Дата введения: | 01.12.2013 |
| Аутентичен стандартам: | ISO 24153:2009 |
| Нормативные ссылки: | ISO 3534-1;ISO 3534-2;ISO 3534-3;ISO 80000-2 |
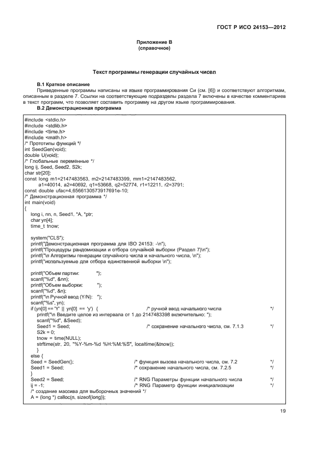
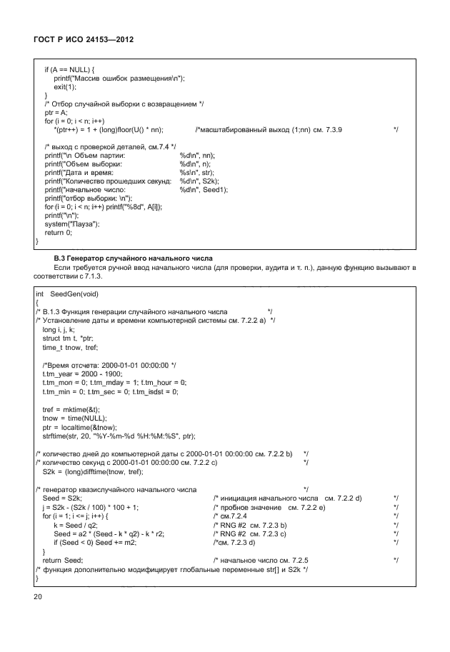
| Область применения: | Настоящий стандарт устанавливает процедуры рандомизации и случайного отбора выборки. Представленные в стандарте процедуры охватывают методы, предусматривающие применение технических средств, таблиц случайных чисел, компьютерных программ. Для компьютерных программ приведены общее описание соответствующего алгоритма и текст программы. В настоящем стандарте представлены не все возможные способы применения процедур случайного отбора выборки и рандомизации и не все возможные стратегии отбора выборки и определения объема выборки. В соответствующих ситуациях следует использовать стандарты, перечисленные во введении |
|
| Расположен в: |
|