Информационная система
«Ёшкин Кот»

Скачать базу одним архивом
Скачать обновления
История создания базы
Карта сайта

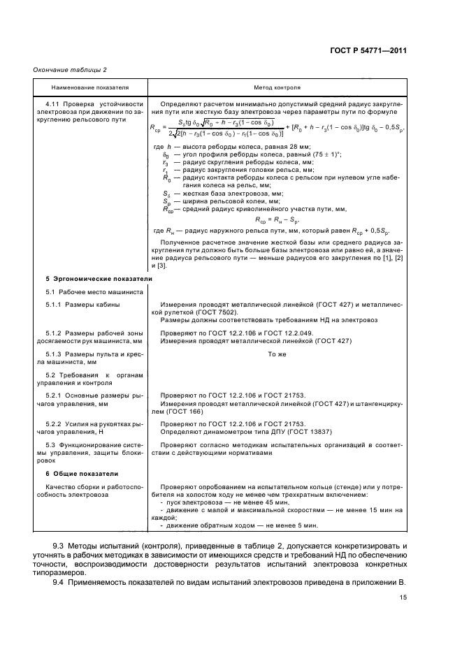
Скачать ГОСТ Р 54771-2011 Транспорт рудничный электровозный. Электровозы контактные. Общие технические требования и методы испытаний

Дата актуализации: 01.06.2025

ГОСТ Р 54771-2011

Транспорт рудничный электровозный. Электровозы контактные. Общие технические требования и методы испытаний

Обозначение: ГОСТ Р 54771-2011
Статус:действующий
Название рус.:Транспорт рудничный электровозный. Электровозы контактные. Общие технические требования и методы испытаний
Дата актуализации текста:01.01.2021
Дата актуализации описания:01.07.2023
Дата издания:30.10.2014
Дата введения:01.01.2013
Код ОКП:345232
Нормативные ссылки:ГОСТ Р 12.4.026-2001;ГОСТ Р 51330.20-92;ГОСТ Р 52230-2004;ГОСТ Р 52543-2006;ГОСТ 2.601-2006;ГОСТ 9.014-78;ГОСТ 9.032-74;ГОСТ 9.104-79;ГОСТ 9.401-91;ГОСТ 9.402-2004;ГОСТ 12.1.004-91;ГОСТ 12.1.044-89;ГОСТ 12.1.050-86;ГОСТ 12.2.003-91;ГОСТ 12.2.007.0-75;ГОСТ 12.2.049-80;ГОСТ 12.2.064-81;ГОСТ 12.2.101-95;ГОСТ 12.2.106-85;ГОСТ 12.2.112-86;ГОСТ 12.3.001-92;ГОСТ 27.410-87;ГОСТ 166-89;ГОСТ 427-75;ГОСТ 2405-88;ГОСТ 2991-85;ГОСТ 7502-98;ГОСТ 10198-91;ГОСТ 12971-67;ГОСТ 13837-79;ГОСТ 14192-96;ГОСТ 15150-69;ГОСТ 15846-2002;ГОСТ 17168-82;ГОСТ 17187-81;ГОСТ 17516.1-90;ГОСТ 20179-74;ГОСТ 21753-76;ГОСТ 23170-78;ГОСТ 24754-81;ГОСТ 24940-96;ГОСТ 28498-90;ГОСТ 31319-2006
Область применения:Настоящий стандарт распространяется на рудничные локомотивы с электрическим приводом с питанием от контактной сети постоянного тока, предназначенные для передвижения поездов по рельсовым путям (железным дорогам) узкой колеи в подземных горных выработках, не опасных по газу и пыли, горнодобывающих предприятий и подземном строительстве в следующих условиях: - атмосфера типа 1 по ГОСТ 15150 при запыленности воздуха не более 200 мг/м куб.; - относительная влажность воздуха 90% при температуре 27 °С; - температура окружающей среды от +35 до -5 °С; - продольный уклон пути до ± 0,05°; - коэффициент сцепления электровоза с рельсами в угольных шахтах – 0,09-0,17, в рудниках - 0,10-0,28; - высота подвески контактного привода от 1800 до 2300 мм; - ширина колеи рельсового пути - 600, 750 и 900 мм. Оборудование, изготовленное согласно настоящему стандарту, можетприменяться в других отраслях промышленности, где условия эксплуатации соответствуют ему. Стандарт устанавливает общие технические требования и методы испытаний параметров при проектировании, изготовлении и испытаниях электровозов и их модификаций (контактно-кабельных и контактно-аккумуляторных), а также машин, создаваемых на базе контактных электровозов (кроме рабочего оборудования)
Расположен в:Государственные стандарты Общероссийский классификатор стандартов Горное дело и полезные ископаемые Горное оборудование Оборудование для откатки и подъема Классификатор государственных стандартов Машины, оборудование и инструмент Машины и оборудование для тяжелой индустрии Геологоразведочное, горнорудное и обогатительное оборудование Окп Оборудование и материалы электротехнические Электротранспорт, электрооборудование для электротранспорта и подъемно-транспортных машин Электровозы маневровые, промышленные и рудничные Электровозы рудничные / - троллейные
ГОСТ Р 54771-2011ГОСТ Р 54771-2011ГОСТ Р 54771-2011ГОСТ Р 54771-2011ГОСТ Р 54771-2011ГОСТ Р 54771-2011ГОСТ Р 54771-2011ГОСТ Р 54771-2011ГОСТ Р 54771-2011ГОСТ Р 54771-2011ГОСТ Р 54771-2011ГОСТ Р 54771-2011ГОСТ Р 54771-2011ГОСТ Р 54771-2011ГОСТ Р 54771-2011ГОСТ Р 54771-2011ГОСТ Р 54771-2011ГОСТ Р 54771-2011ГОСТ Р 54771-2011ГОСТ Р 54771-2011ГОСТ Р 54771-2011ГОСТ Р 54771-2011ГОСТ Р 54771-2011ГОСТ Р 54771-2011ГОСТ Р 54771-2011ГОСТ Р 54771-2011

© 2013 Ёшкин Кот :-) Карта сайта