Информационная система
«Ёшкин Кот»

Скачать базу одним архивом
Скачать обновления
История создания базы
Карта сайта

Скачать ГОСТ Р 54844-2011 Микросхемы интегральные. Основные размеры

Дата актуализации: 01.06.2025

ГОСТ Р 54844-2011

Микросхемы интегральные. Основные размеры

Обозначение: ГОСТ Р 54844-2011
Статус:действующий
Название рус.:Микросхемы интегральные. Основные размеры
Дата актуализации текста:01.01.2021
Дата актуализации описания:01.07.2023
Дата издания:05.06.2014
Дата введения:01.09.2013
Код ОКП:633000
Нормативные ссылки:ГОСТ Р 50044-2009;ГОСТ 17021-88
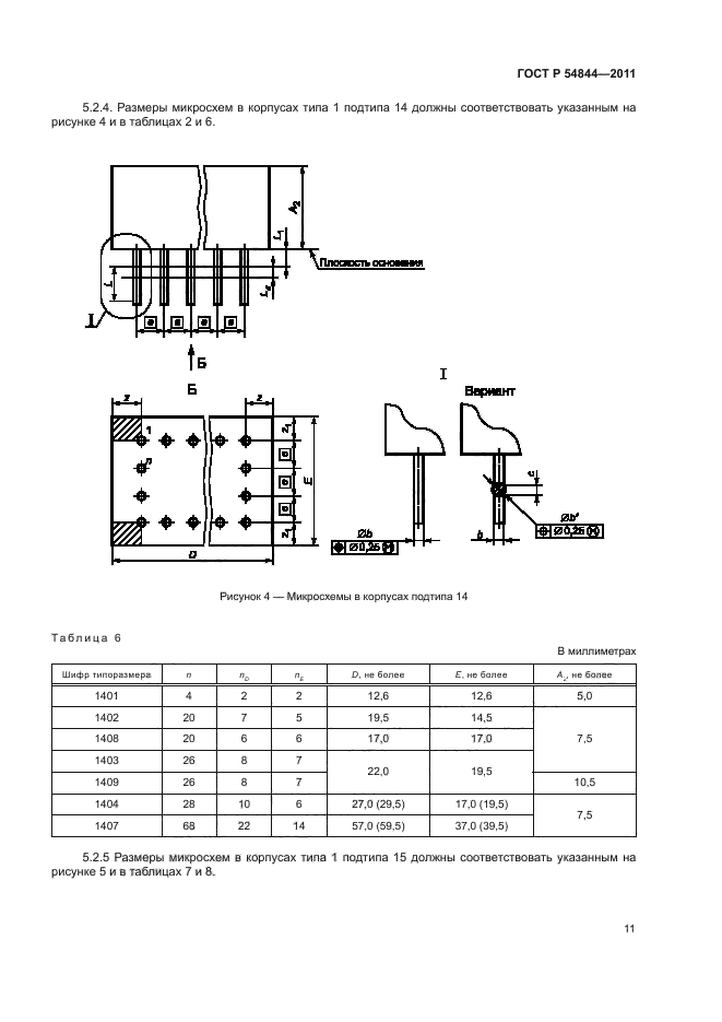
Область применения:Настоящий стандарт распространяется на интегральные микросхемы, микросборки, многокристальные модули в корпусах и устанавливает их габаритные, установочные и присоединительные размеры. Настоящий стандарт предназначен для применения предприятиями, организациями и другими субъектами научной и хозяйственной деятельности независимо от форм собственности и подчинения, а также федеральными органами исполнительной власти Российской Федерации, участвующими в разработке, производстве, эксплуатации микросхем в соответствии с действующим законодательством
Расположен в:Государственные стандарты Общероссийский классификатор стандартов Электроника Интегральные схемы. Микроэлектроника Классификатор государственных стандартов Электронная техника, радиоэлектроника и связь Общие правила и нормы по электронной технике, радиоэлектронике и связи Нормы расчета и проектирования Окп Электронная техника, кроме резисторов и конденсаторов Приборы электронные-микросхемы интегральные
ГОСТ Р 54844-2011ГОСТ Р 54844-2011ГОСТ Р 54844-2011ГОСТ Р 54844-2011ГОСТ Р 54844-2011ГОСТ Р 54844-2011ГОСТ Р 54844-2011ГОСТ Р 54844-2011ГОСТ Р 54844-2011ГОСТ Р 54844-2011ГОСТ Р 54844-2011ГОСТ Р 54844-2011ГОСТ Р 54844-2011ГОСТ Р 54844-2011ГОСТ Р 54844-2011ГОСТ Р 54844-2011ГОСТ Р 54844-2011ГОСТ Р 54844-2011ГОСТ Р 54844-2011ГОСТ Р 54844-2011ГОСТ Р 54844-2011ГОСТ Р 54844-2011ГОСТ Р 54844-2011ГОСТ Р 54844-2011ГОСТ Р 54844-2011ГОСТ Р 54844-2011ГОСТ Р 54844-2011ГОСТ Р 54844-2011ГОСТ Р 54844-2011ГОСТ Р 54844-2011ГОСТ Р 54844-2011ГОСТ Р 54844-2011ГОСТ Р 54844-2011ГОСТ Р 54844-2011ГОСТ Р 54844-2011ГОСТ Р 54844-2011ГОСТ Р 54844-2011ГОСТ Р 54844-2011ГОСТ Р 54844-2011ГОСТ Р 54844-2011ГОСТ Р 54844-2011ГОСТ Р 54844-2011ГОСТ Р 54844-2011ГОСТ Р 54844-2011ГОСТ Р 54844-2011ГОСТ Р 54844-2011ГОСТ Р 54844-2011ГОСТ Р 54844-2011ГОСТ Р 54844-2011ГОСТ Р 54844-2011ГОСТ Р 54844-2011ГОСТ Р 54844-2011ГОСТ Р 54844-2011ГОСТ Р 54844-2011ГОСТ Р 54844-2011ГОСТ Р 54844-2011ГОСТ Р 54844-2011ГОСТ Р 54844-2011ГОСТ Р 54844-2011ГОСТ Р 54844-2011ГОСТ Р 54844-2011ГОСТ Р 54844-2011ГОСТ Р 54844-2011ГОСТ Р 54844-2011ГОСТ Р 54844-2011ГОСТ Р 54844-2011ГОСТ Р 54844-2011ГОСТ Р 54844-2011ГОСТ Р 54844-2011

© 2013 Ёшкин Кот :-) Карта сайта