| Обозначение: |  ГОСТ Р ИСО/ТС 10303-1068-2012 |
| Статус: | действующий |
| Название рус.: | Системы автоматизации производства их интеграция. Представление данных об изделии и обмен этими данными. Часть 1068. Прикладной модуль. Трехмерная конструктивная геометрическая модель |
| Название англ.: | Industrial automation systems and integration. Product data representation and exchange. Part 1068. Application module. Constructive solid geometry 3D |
| Дата актуализации текста: | 06.04.2015 |
| Дата актуализации описания: | 01.07.2023 |
| Дата издания: | 04.02.2019 |
| Дата введения: | 01.09.2013 |
| Аутентичен стандартам: | ISO/TS 10303-1068:2010 |
| Нормативные ссылки: | ISO 10303-1:1994;ISO 10303-11:2004;ISO 10303-515:2000;ISO/TS 10303-1004:2018;ISO/TS 10303-1791:2018 |
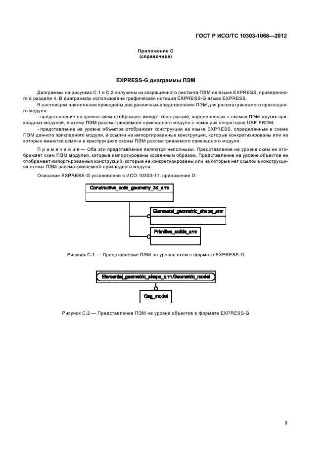
| Область применения: | Настоящий стандарт определяет прикладной модуль «Трехмерная конструктивная твердотельная геометрическая модель». В область применения настоящего стандарта входят: - конструктивная твердотельная геометрическая модель; - полупространство; - твердотельный объем, описанный его внешними и внутренними оболочками; - твердое тело, полученное в результате заметания грани или поверхности вдоль направляющей; - репликация твердотельной модели с возможностью линейных преобразований; - положения, относящиеся к области применения прикладного модуля ИСО/TС 10303-1004 «Элементарная геометрическая форма»; – положения, относящиеся к области применения прикладного модуля ИСО/TС 10303-1791 «Твердотельные примитивы». В область применения настоящего стандарта не входят: - объем, заданный тремя параметрами; - усеченный объем |
|
| Расположен в: |
|