| Обозначение: |  ГОСТ Р 51565-2012 |
| Статус: | действующий |
| Название рус.: | Энергетическая эффективность. Приборы холодильные бытовые и аналогичные. Показатели энергетической эффективности и методы определения |
| Название англ.: | Energy efficiency. Household refrigeration appliances and similar. Indicators of energy efficiency and determination methods |
| Дата актуализации текста: | 01.01.2021 |
| Дата актуализации описания: | 01.07.2023 |
| Дата издания: | 25.11.2019 |
| Дата введения: | 01.01.2014 |
| Взамен: | ГОСТ Р 51565-2000 |
| Нормативные ссылки: | ГОСТ Р 51401; ГОСТ Р МЭК 62552; ГОСТ 16317 |
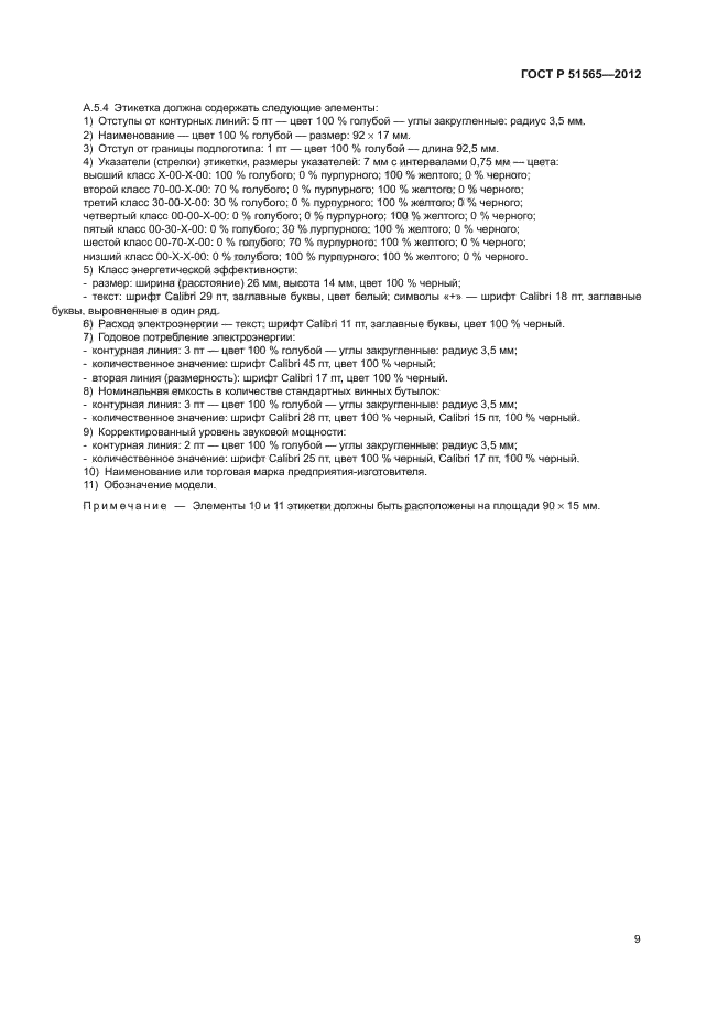
| Область применения: | Настоящий стандарт распространяется на бытовые электрические холодильные приборы компрессионного и абсорбционного типа, предназначенные для хранения и (или) замораживания пищевых продуктов в бытовых условиях, в том числе на приборы с внутренней принудительной циркуляцией воздуха и системой без образования инея (система фрост-фри) |
| Список изменений: | №0 от 21.05.2014 (рег. 21.05.2014) «Дата введения перенесена» |
| Приложение №1: | Поправка к ГОСТ Р 51565-2012 |
|
| Расположен в: |
|