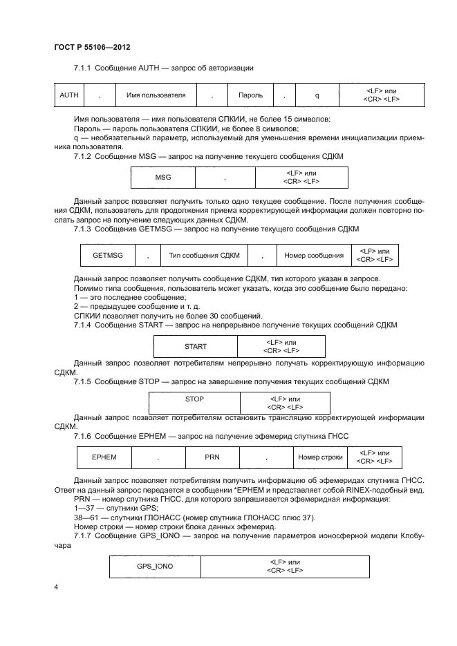
| Обозначение: |  ГОСТ Р 55106-2012 |
| Статус: | действующий |
| Название рус.: | Глобальная навигационная спутниковая система. Форматы передачи корректирующей информации с использованием интернета |
| Название англ.: | Global navigation satellite system. Correction data transmission formats using Internet |
| Дата актуализации текста: | 01.01.2021 |
| Дата актуализации описания: | 01.01.2021 |
| Дата издания: | 19.08.2020 |
| Дата введения: | 01.05.2013 |
| Нормативные ссылки: | ГОСТ Р 52928 |
| Область применения: | Настоящий стандарт распространяется на форматы передачи корректирующей информации с использованием Интернета. Настоящий стандарт устанавливает требования к составу и форматам передачи корректирующей информации широкозонных функциональных дополнений при помощи Интернета |
|
| Расположен в: |
|