| Обозначение: |  ГОСТ Р 54997-2012 |
| Статус: | действующий |
| Название рус.: | Система цифрового звукового радиовещания DRM. Цифровое звуковое радиовещание DAB. Требования транспортировки и бинарного кодирования для электронного справочника программ (EPG) |
| Название англ.: | Digital radio mondiale (DRM). Digital audio broadcasting (DAB). Transportation and binaryencoding specification for electronic programme guide (EPG) |
| Дата актуализации текста: | 06.04.2015 |
| Дата актуализации описания: | 01.01.2021 |
| Дата издания: | 24.05.2013 |
| Дата введения: | 01.04.2013 |
| Код ОКП: | 657300 |
| Нормативные ссылки: | ГОСТ Р 54462-2011;ETSI TS 102 371 V1.2.1 (2006-02) |
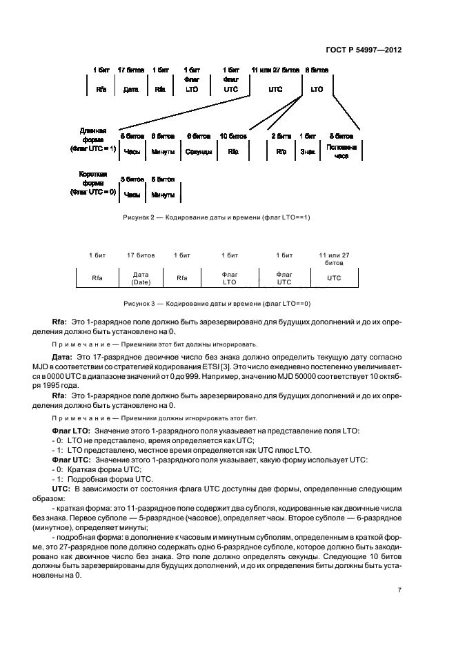
| Область применения: | Настоящий стандарт распространяется на параметры процессов кодирования, профилирования, передачи данных и сигнализации электронного справочника программ (Electronic Programme Guide; EPG) для систем цифрового звукового радиовещания (Digital Audio Broadcasting; DAB) и системы Всемирного цифрового радио (Digital Radio Mondiale; DRM). Требования настоящего стандарта следует учитывать при разработке, изготовлении и сертификационных испытаниях кодирующих устройств и приемников пользователей систем DAB и DRM |
|
| Расположен в: |
|