| Обозначение: |    ГОСТ Р ИСО 10303-1060-2012 | 
| Статус: | не действует в РФ | 
| Название рус.: | Системы автоматизации производства и их интеграция. Представление данных об изделии и обмен этими данными. Часть 1060. Прикладной модуль. Идентификация концепции изделия | 
| Название англ.: | Industrial automation systems and integration. Product data representation and exchange. Part 1060. Application module. Product concept identification | 
| Дата актуализации текста: | 01.01.2014 | 
| Дата актуализации описания: | 01.01.2014 | 
| Дата издания: | 11.04.2013 | 
| Дата введения: | 01.05.2013 | 
| Дата последнего изменения: | 15.07.2013 | 
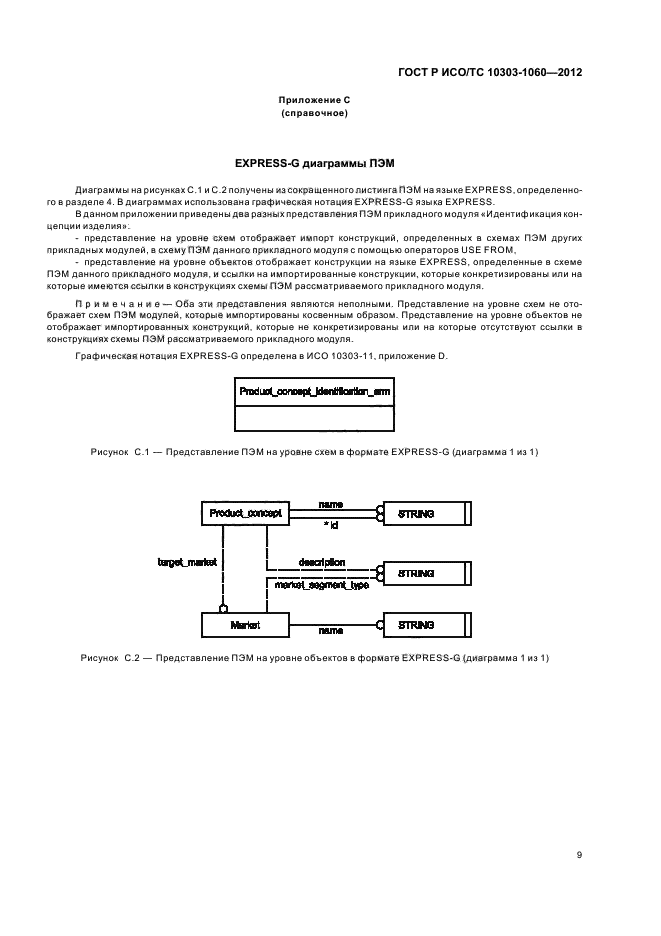
| Область применения: | Настоящий стандарт определяет «Идентификация концепции изделия».
    Требования настоящего стандарта распространяются на идентификацию разновидности изделия на основании требований пользователей | 
 | 
| Расположен в: | 
  |