| Обозначение: |    ГОСТ Р ИСО/ТС 10303-1041-2012 | 
| Статус: | действующий | 
| Название рус.: | Системы автоматизации производства и их интеграция. Представление данных об изделии и обмен этими данными. Часть 1041. Прикладной модуль. Взаимосвязь между определениями представлений изделия | 
| Название англ.: | Industrial automation systems and integration. Product data representation and exchange. Part 1041. Application module. Product view definition relationship | 
| Дата актуализации текста: | 06.04.2015 | 
| Дата актуализации описания: | 01.07.2023 | 
| Дата издания: | 01.06.2020 | 
| Дата введения: | 01.05.2013 | 
| Аутентичен стандартам: | ISO/TS 10303-1041:2004 | 
| Нормативные ссылки: | ISO/IEC 8824-1:2015;ISO 10303-1:1994;ISO 10303-11:2004;ISO 10303-21:2016;ISO 10303-242-:2014;ISO/TS 10303-1001:2018;ISO/TS 10303-1017:2010;ISO/TS 10303-1019 | 
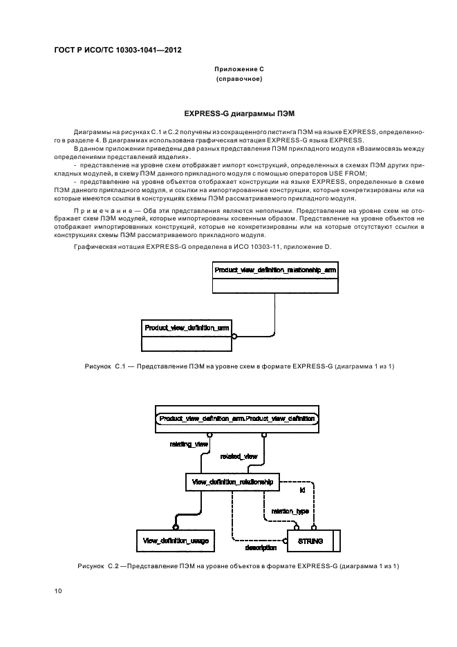
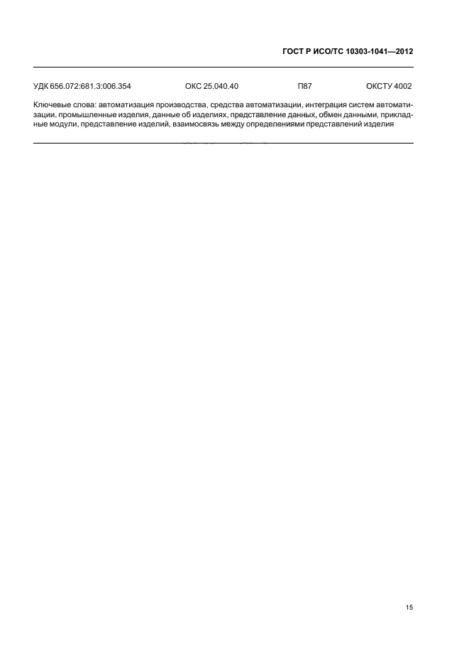
| Область применения: | Настоящий стандарт определяет прикладной модуль «Взаимосвязь между определениями представлений изделия». Требования настоящего стандарта распространяются на: - контекстно-зависимую взаимосвязь между двумя определениями изделия; - представление использования версии изделия в другой его версии | 
 | 
| Расположен в: | 
  |