| Обозначение: |  ГОСТ Р 43.0.7-2011 |
| Статус: | действующий |
| Название рус.: | Информационное обеспечение техники операторской деятельности. Гибридно-интеллектуализированное человекоинформационное взаимодействие. Общие положения |
| Название англ.: | Informational ensuring of equipment and operational activity. Hybrid intellectulized man - information interaction. General principles |
| Дата актуализации текста: | 01.01.2021 |
| Дата актуализации описания: | 01.07.2023 |
| Дата издания: | 30.10.2018 |
| Дата введения: | 01.07.2013 |
| Нормативные ссылки: | ГОСТ Р 43.0.1; ГОСТ Р 43.0.3; ГОСТ Р 43.2.1 |
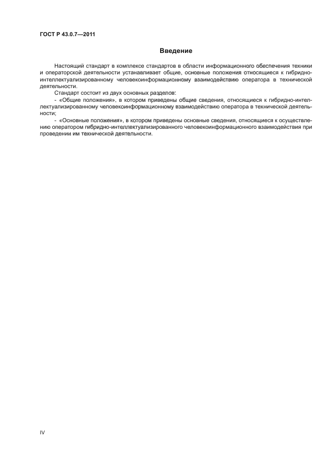
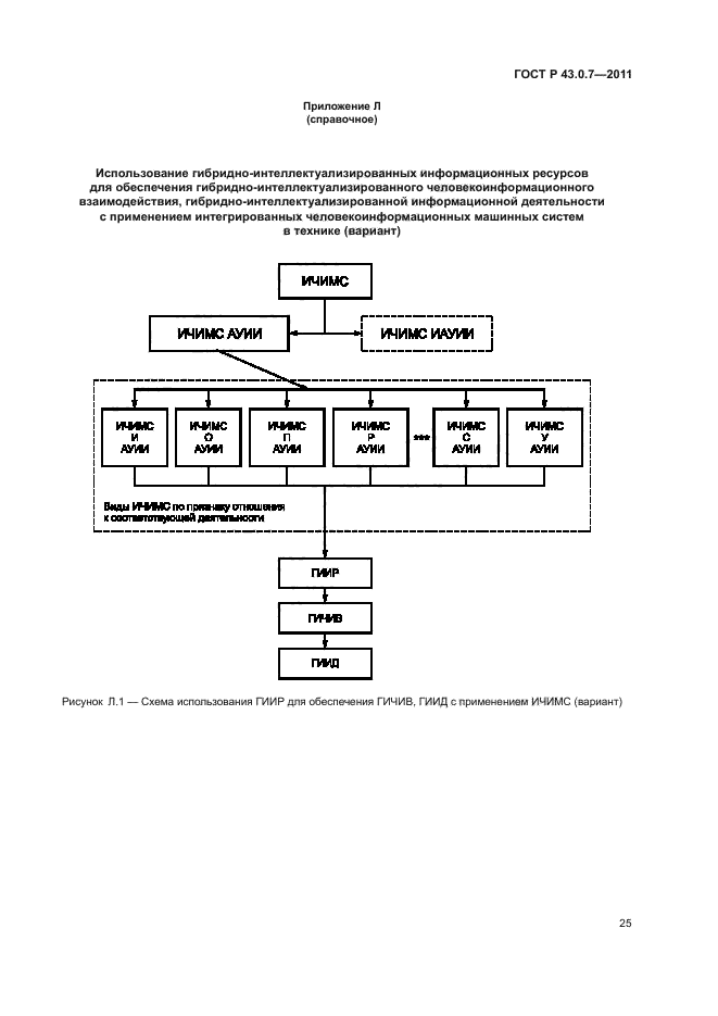
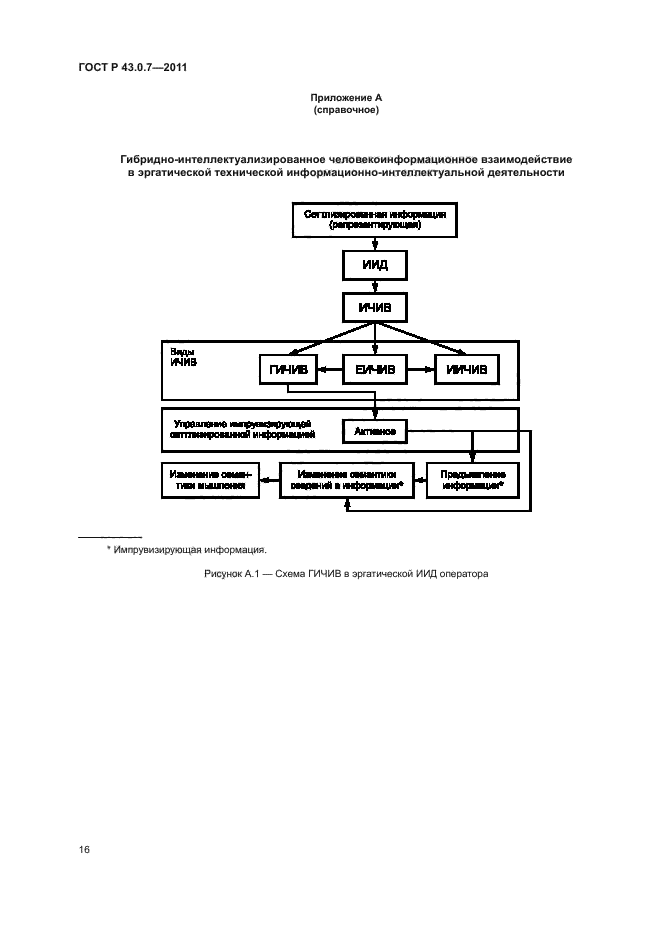
| Область применения: | Настоящий стандарт устанавливает общие, основные положения, относящиеся к гибридно-интеллектуализированному человекоинформационному взаимодействию оператора в технической деятельности. Положения данного стандарта, относящиеся к подготовке и проведению гибридно-интеллектуализированого человекоинформационного взаимодействия, могут быть использованы для нормативно-регулируемого применения процессов образования и использования: - естественно-интеллектуализированного человекоинформационного взаимодействия; - искусственно-интеллектуализированного человекоинформационного взаимодействия; - естественного интеллекта; - гибридного интеллекта; - компонентного искусственного интеллекта; - искусственного интеллекта |
|
| Расположен в: |
|