| Обозначение: |  ГОСТ Р ИСО 22006-2012 |
| Статус: | действующий |
| Название рус.: | Системы менеджмента качества. Руководящие указания по применению ИСО 9001:2008 в растениеводстве |
| Название англ.: | Quality management systems. Guidelines for the application of ISO 9001:2008 to crop production |
| Дата актуализации текста: | 06.04.2015 |
| Дата актуализации описания: | 01.07.2023 |
| Дата издания: | 02.07.2020 |
| Дата введения: | 01.01.2013 |
| Аутентичен стандартам: | ISO 22006:2009 |
| Нормативные ссылки: | ISO 9000:2005;ISO 9001:2008 |
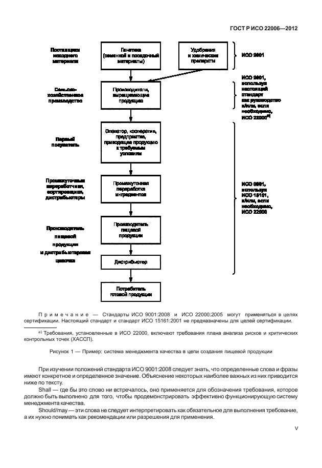
| Область применения: | Настоящий стандарт содержит рекомендации с целью помочь производителям продукции растениеводства внедрить требования стандарта ИСО 9001:2008 для процессов, связанных с производством продукции растениеводства |
|
| Расположен в: |
|