| Обозначение: |  ГОСТ EN 12717-2011 |
| Статус: | действующий |
| Название рус.: | Безопасность металлообрабатывающих станков. Станки сверлильные |
| Название англ.: | Safety of machine tools. Drilling machines |
| Дата актуализации текста: | 06.04.2015 |
| Дата актуализации описания: | 01.07.2023 |
| Дата регистрации: | 29.11.2011 |
| Дата издания: | 18.07.2020 |
| Дата введения: | 01.01.2013 |
| Аутентичен стандартам: | EN 12717:2001 |
| Нормативные ссылки: | IEC 61496-2(2006);EN ISO 12100-1:2004;EN ISO 12100-2:2004;EN ISO 13857:2008;EN 349:2008;EN 574:2008;EN 614-1:2006+A:2009;EN 614-2:2000+A1:2008;EN 894-1:2009;EN 894-2:2009;EN 894-3:2010;EN 953:2009;EN ISO 13849-1:2008;EN ISO 4413:2011;EN ISO 4414:2011;EN ISO 13855:2010;EN 1005-1:2009;EN 1005-2:2009;EN 1005-3:2009;EN 1037:2008;EN ISO 12100:2011;EN 1088:2008;EN 1127-1:1997;EN 1760-2:2009;EN 1837:2009;EN ISO 3744:2011;EN ISO 3746:2011;EN ISO 4871:2009;EN ISO 7731:2008;EN ISO 9614-1:2009;EN ISO 11202:2010;EN ISO 11204:2010;EN ISO 14122-2:2002;EN ISO 14122-3:2002;EN 13478:2008;EN ISO 11688-1:2009;EN ISO/TR 11688-2:2001;EN 60204-1:2006+A1:2009;EN 61496-1:2004+A1:2008;EN 61000-6-4:2007+A1:2011;EN 61000-6-2:2005 |
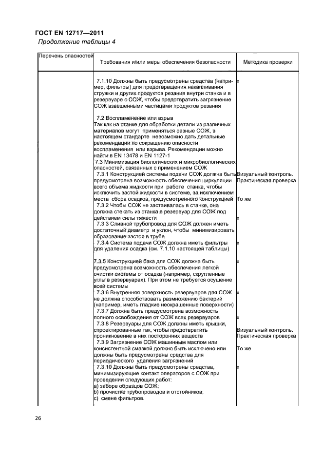
| Область применения: | Настоящий стандарт устанавливает требования безопасности и определяет меры, которые должны приниматься лицами, осуществляющими проектирование, изготовление и поставку (включая монтаж, демонтаж, транспортировку и техническое обслуживание) стационарных сверлильных станков.Настоящий стандарт распространяется на станки с ручным управлением и автоматические сверлильные станки. В число этих станков включены следующие: - вертикально-сверлильные станки на колонне; - радиально-сверлильные станки; - вертикально-сверлильные станки с координатным столом; - горизонтально-сверлильные станки; - многошпиндельные сверлильные станки; - сверлильные станки с револьверной головкой и ручным управлением ее поворота |
|
| Расположен в: |
|