| Обозначение: |  ГОСТ Р 53871-2010 |
| Статус: | заменён |
| Название рус.: | Методы оценки реабилитационной эффективности протезирования нижних конечностей |
| Название англ.: | Methods of evaluation of rehabilitation efficiency of lower-limb prosthetics |
| Дата актуализации текста: | 06.04.2015 |
| Дата актуализации описания: | 01.07.2023 |
| Дата издания: | 24.01.2012 |
| Дата введения: | 01.10.2011 |
| Дата окончания срока действия: | 01.12.2021 |
| Заменяющий: | ГОСТ Р 53871-2021 |
| Нормативные ссылки: | ГОСТ 15150-69; ГОСТ 19687-89; ГОСТ Р 15.111-97; ГОСТ Р 51191-2007; ГОСТ Р 51819-2001; ГОСТ Р 51959.1-2002; ГОСТ Р МЭК 60601-1-1-2007 |
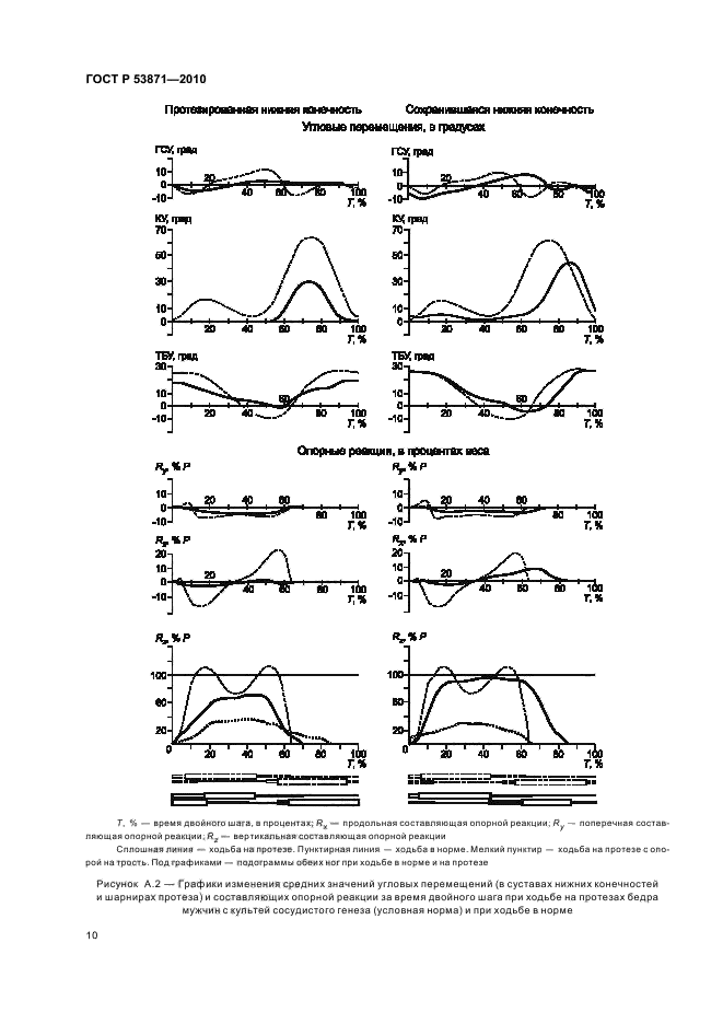
| Область применения: | Настоящий стандарт распространяется на протезы нижних конечностей и устанавливает следующие методы оценки реабилитационной эффективности протезирования нижних конечностей: клинический и биомеханический |
|
| Расположен в: |
|