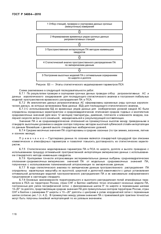
| Обозначение: |  ГОСТ Р 54084-2010 |
| Статус: | действующий |
| Название рус.: | Модели атмосферы в пограничном слое на высотах от 0 до 3000 м для аэрокосмической практики. Параметры |
| Название англ.: | Model of the atmosphere in the boundary layer at altitudes from 0 to 3000 m for aerospace practices. Parameters |
| Дата актуализации текста: | 06.04.2015 |
| Дата актуализации описания: | 01.07.2023 |
| Дата издания: | 11.03.2013 |
| Дата введения: | 01.01.2012 |
| Нормативные ссылки: | ISO 2533:75;ISO 5878:82 |
| Область применения: | Настоящий стандарт устанавливает закономерности высотного распределения термодинамических параметров атмосферы (температуры, давления, плотности) и направление и скорость ветра в пограничном слое атмосферы для высот от 0 до 5000 м над поверхностью земли по широтным и меридиональным разрезам территории Российской Федерации |
|
| Расположен в: |
|