| Обозначение: |  ГОСТ Р 54621-2011 |
| Статус: | действующий |
| Название рус.: | Информационные технологии. Радиочастотная идентификация для управления предметами. Рекомендации по применению. Часть 1. Этикетки и упаковка с радиочастотными метками по ИСО/МЭК 18000-6 (тип C) |
| Название англ.: | Information technology. Radio frequency identification for item management. Recommendations for application. Part 1. RFID-enabled labels and packaging supporting ISO/IEC 18000-6C |
| Дата актуализации текста: | 06.04.2015 |
| Дата актуализации описания: | 01.07.2023 |
| Дата издания: | 30.01.2013 |
| Дата введения: | 01.06.2012 |
| Аутентичен стандартам: | ISO/IEC/TR 24729-1:2008 |
| Нормативные ссылки: | ISO/IEC 646;ISO/IEC 13239;ISO/IEC 15417;ISO/IEC 15418;ISO 15394;ISO/IEC 15434;ISO/IEC 15438;ISO/IEC 15459-5;ISO/IEC 15961;ISO/IEC 15962;ISO/IEC 16022;ISO/IEC 16388;ISO 17363;ISO 17364;ISO 17365;ISO 17366;ISO 17367;ISO/IEC 18000-6;ISO/IEC 18000-7;ISO/IEC 18004;ISO/IEC 18046;ISO/IEC 18047-6;ISO/IEC 19762;ISO 21067;ISO 22742;ISO/IEC 24723;ISO/IEC 24724;ISO/IEC 24728;IEC 61000-4-2Ed. 1.2 b(2001);ITU Recommendation X.25;FCC Part 15.247, U.S. Code, Title 47;ETSI EN 302 208-1 V1.1.1;AIM Global NASAG-0401. v1.4;EPС™ Radio-Frequency identity protocols — Class-1 |
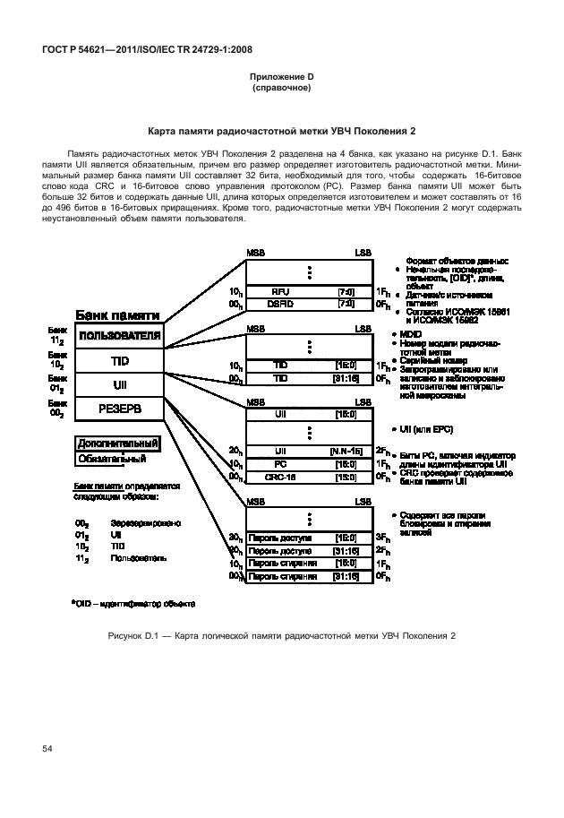
| Область применения: | Настоящий стандарт устанавливает требования по применению этикеток и упаковок, содержащих радиочастотные метки, в цепях поставок. В настоящем стандарте приведены требования по выбору радиочастотных меток, а также иных носителей данных, клея, материала лицевой стороны этикетки и чернил. Настоящий стандарт устанавливает методы снижения влияния электростатического разряда и повреждения радиочастотной метки, а также методы верификации данных радиочастотной метки. В настоящем стандарте приведены правила размещения и прикрепления радиочастотных меток на таре и ящиках, перемещаемых по конвейеру, на материалах, перевозимых на поддонах и в виде грузовых единиц, а также на материалах, не предназначенных для перемещения по конвейеру и размещения на поддонах |
|
| Расположен в: |
|