| Обозначение: |  ГОСТ Р 54582-2011 |
| Статус: | действующий |
| Название рус.: | Информационная технология. Методы и средства обеспечения безопасности. Основы доверия к безопасности информационных технологий. Часть 2. Методы доверия |
| Название англ.: | Information technology. Security techniques. Aframework for IT security assurance. Part 2. Assurance methods |
| Дата актуализации текста: | 01.01.2021 |
| Дата актуализации описания: | 01.07.2023 |
| Дата издания: | 30.01.2019 |
| Дата введения: | 01.12.2012 |
| Аутентичен стандартам: | ISO/IEC TR 15443-2:2005 |
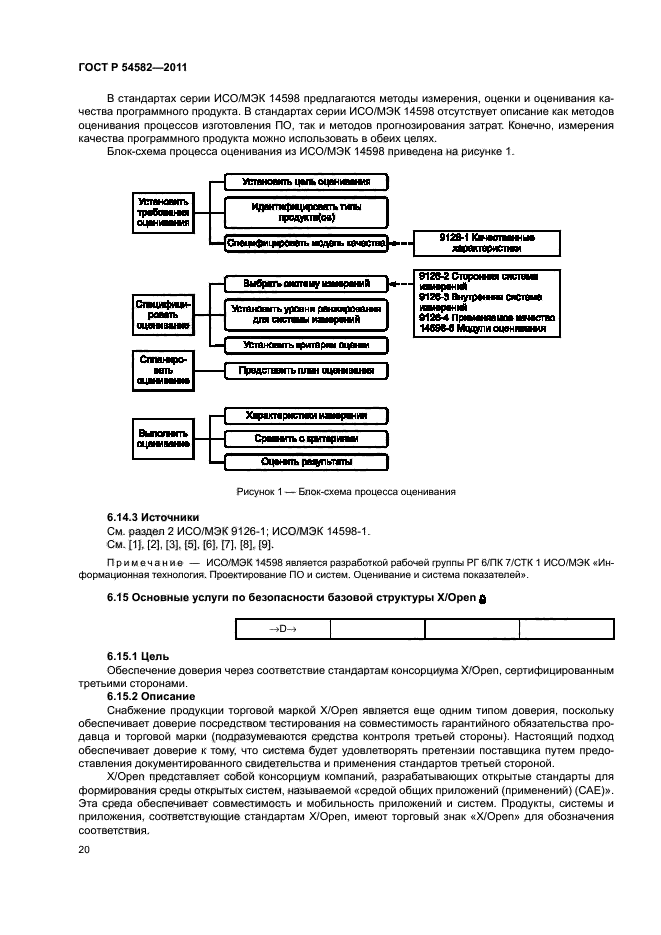
| Нормативные ссылки: | ISO 9000;ISO 9001;ISO/IEC 25010;ISO/IEC 12207;ISO/IEC 27005;ISO/IEC TR 14598-1;ISO/IEC 15939;ISO/IEC 15288;ISO/IEC 15408-1;ISO/IEC 15504-2;ISO/IEC 15408-3;ISO/IEC 15504-1;ISO/IEC 15504-2;ISO/IEC 15504-3;ISO/IEC 15504-4;ISO/IEC 15504-5;ISO/IEC 27002;ISO/IEC 21827;ISO/IEC 90003 |
| Область применения: | Настоящий стандарт представляет собой руководство в сокращенном обзорном варианте. Его достаточно для формирования из представленной совокупности методов обеспечения доверия сокращенного набора методов, применимых продукту, системе или услуге. Краткое изложение применимых методов обеспечения доверия является информативным, представляющим основы для облегчения его понимания без обращения к первоисточникам |
|
| Расположен в: |
|