| Обозначение: |  ГОСТ Р 54830-2011 |
| Статус: | действующий |
| Название рус.: | Системы охранные телевизионные. Компрессия оцифрованных видеоданных. Общие технические требования и методы оценки алгоритмов |
| Название англ.: | Video surveillance systems. Video data compression. General technical requirements and methods of algorithm evaluation |
| Дата актуализации текста: | 01.01.2021 |
| Дата актуализации описания: | 01.07.2023 |
| Дата издания: | 29.07.2019 |
| Дата введения: | 01.09.2012 |
| Код ОКП: | 437200 |
| Нормативные ссылки: | ГОСТ Р 51558; ГОСТ Р МЭК 60065; ГОСТ 13699; ГОСТ 15971 |
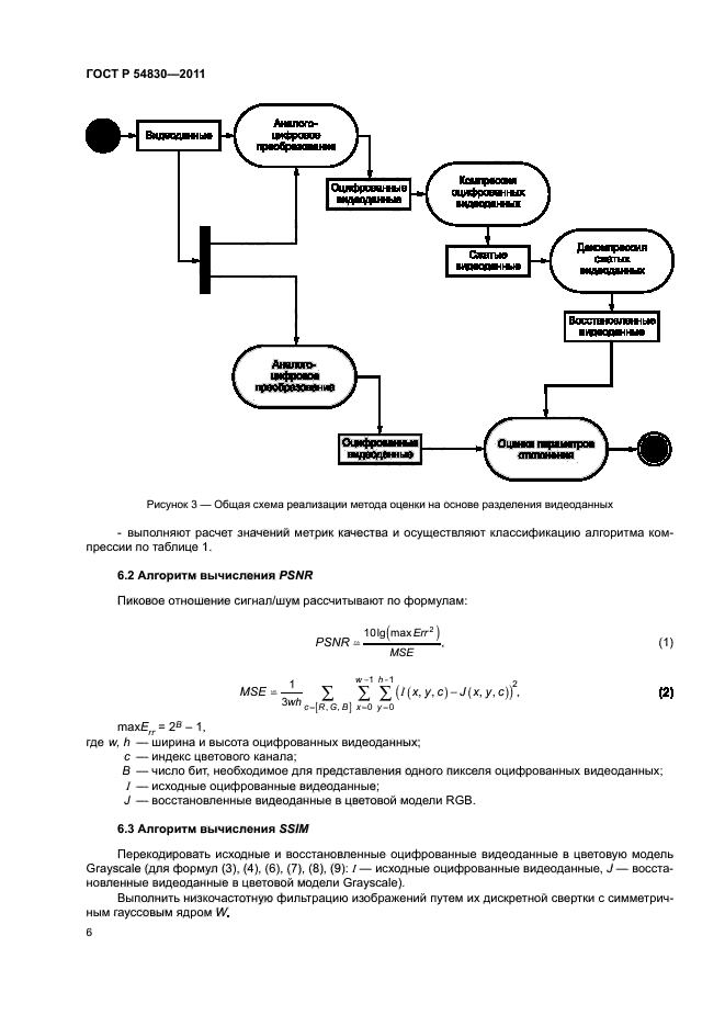
| Область применения: | Настоящий стандарт распространяется на цифровые системы охранные телевизионные и устанавливает общие технические требования и методы оценки алгоритмов компрессии оцифрованных видеоданных в ЦСОТ. Настоящий стандарт применяют к алгоритмам компрессии (декомпрессии), независимо от их реализации на аппаратном уровне. Настоящий стандарт устанавливает классификацию алгоритмов компрессии (декомпрессии) оцифрованных видеоданных. Настоящий стандарт устанавливает методику сравнения различных алгоритмов компрессии и декомпрессии оцифрованных видеоданных. Настоящий стандарт применяют совместно со стандартами ГОСТ Р МЭК 60065, ГОСТ Р 51558, ГОСТ 13699, ГОСТ 15971 |
|
| Расположен в: |
|