| ||||||||||||||||||||||||||||||||||||
Скачать ГОСТ Р 54828-2011 Комплектные распределительные устройства в металлической оболочке с элегазовой изоляцией (КРУЭ) на номинальные напряжения 110 кВ и выше. Общие технические условияДата актуализации: 01.06.2025
| ||||||||||||||||||||||||||||||||||||
| Обозначение: | ![]() ГОСТ Р 54828-2011 |
| Статус: | заменён |
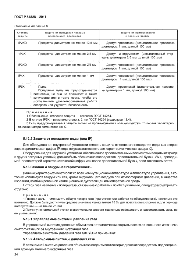
| Название рус.: | Комплектные распределительные устройства в металлической оболочке с элегазовой изоляцией (КРУЭ) на номинальные напряжения 110 кВ и выше. Общие технические условия |
| Название англ.: | Gas-insulated metal-enclosed switchgear for nominal voltages above 110 kV. General technical specification |
| Дата актуализации текста: | 06.04.2015 |
| Дата актуализации описания: | 01.07.2023 |
| Дата издания: | 04.12.2012 |
| Дата введения: | 01.12.2012 |
| Дата окончания срока действия: | 01.02.2023 |
| Код ОКП: | 341410 |
| Заменяющий: | ГОСТ Р 54828-2022 |
| Содержит требования: | IEC 62271-203(2011);IEC 62271-1(2011) |
| Нормативные ссылки: | ГОСТ Р 51317.4.1-2000; ГОСТ Р 51317.4.4-2007; ГОСТ Р 51317.4.11-2007; ГОСТ Р 51317.4.17-2000; ГОСТ Р 51317.6.2-2007; ГОСТ Р 51317.6.5-2006; ГОСТ Р 51318.11-2006; ГОСТ Р 51369-99; ГОСТ Р 52565-2006; ГОСТ Р 52726-2007; ГОСТ Р МЭК 60068-2-2009; ГОСТ 9.401-91; ГОСТ 12.2.007.0-75; ГОСТ 12.2.007.3-75; ГОСТ 1516.2-97; ГОСТ 1516.3-96; ГОСТ 1983-2001; ГОСТ 6827-76; ГОСТ 7746-2001; ГОСТ 8024-90; ГОСТ 9920-89; ГОСТ 12969-67; ГОСТ 14254-96; ГОСТ 15150-69; ГОСТ 15543.1-89; ГОСТ 16962.1-89; ГОСТ 16962.2-90; ГОСТ 17516.1-90; ГОСТ 20074-83; ГОСТ 21130-75; ГОСТ 23941-2002 |
| Область применения: | Настоящий стандарт распространяется на комплектные распределительные устройства в металлической оболочке с элегазовой изоляцией (далее КРУЭ) внутренней и наружной установки на номинальные напряжения переменного тока 110 кВ и выше при рабочей частоте 50 Гц. Вместо термина «комплектное распределительное устройство в металлической оболочке с газовой изоляцией», применяемого в стандарте МЭК, в настоящем стандарте применен термин «КРУЭ» в соответствии с терминологией, принятой в Российской Федерации. Комплектное распределительное устройство в металлической оболочке с элегазовой изоляцией, рассматриваемое в настоящем стандарте, состоит из отдельных элементов, предназначенных для непосредственного соединения друг с другом и способных работать только таким образом. При необходимости стандарт дополняет и уточняет различные стандарты на отдельные элементы, составляющие КРУЭ |
| Расположен в: | |

































































































