| Обозначение: |  ГОСТ Р 54505-2011 |
| Статус: | отменён |
| Название рус.: | Безопасность функциональная. Управление рисками на железнодорожном транспорте |
| Название англ.: | Functional safety. Risk management on railway transport |
| Дата актуализации текста: | 06.04.2015 |
| Дата актуализации описания: | 01.07.2023 |
| Дата издания: | 19.12.2012 |
| Дата введения: | 01.08.2012 |
| Дата окончания срока действия: | 01.09.2016 |
| На территории РФ пользоваться: | ГОСТ 33433-2015 |
| Нормативные ссылки: | ГОСТ Р 27.302-2009; ГОСТ Р 51901.1-2002; ГОСТ Р 51901.11-2005; ГОСТ Р 51901.12-2007; ГОСТ Р 51901.14-2007; ГОСТ Р 51901.15-2005 |
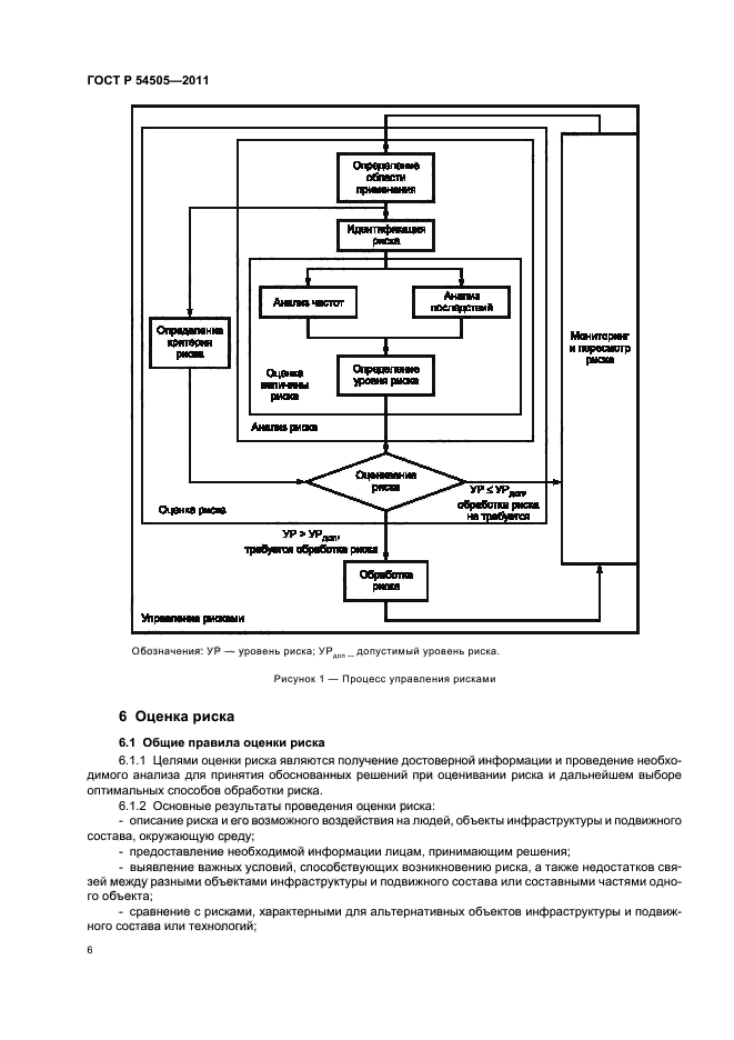
| Область применения: | Настоящий стандарт устанавливает подход и общие правила управления рисками на железнодорожном транспорте, связанными с функциональной безопасностью объектов инфраструктуры и подвижного состава. Настоящий стандарт распространяется на внутренние и внешние по отношению к субъектам деятельности в сфере железнодорожного транспорта (владельцам инфраструктуры, операторам железнодорожного подвижного состава, перевозчикам и пользователям услуг железнодорожного транспорта) риски. Настоящий стандарт предназначен для применения субъектами деятельности в сфере железнодорожного транспорта общего и необщего пользования |
| Список изменений: | №0 от 31.08.2016 (рег. 04.12.2015) «Текстовое изменение; Изменено заглавие» |
|
| Расположен в: |
|