| Обозначение: |  ГОСТ Р 54719-2011 |
| Статус: | действующий |
| Название рус.: | Архивирование телерадиопрограмм. Описание аудиовизуальных материалов. Структура метаданных |
| Название англ.: | Archiving of the teleradio programmes. Audio and video materials description. Metadata structure |
| Дата актуализации текста: | 01.01.2021 |
| Дата актуализации описания: | 01.07.2023 |
| Дата издания: | 02.09.2020 |
| Дата введения: | 01.12.2012 |
| Нормативные ссылки: | ГОСТ 7.1; ГОСТ 7.59; ГОСТ 7.69; ГОСТ 7.74; ГОСТ 7.75; ГОСТ 7.82; ГОСТ 7.83; ГОСТ Р 52210; ГОСТ ИСО 8601 |
| Область применения: | Настоящий стандарт распространяется на процесс архивирования телерадиопрограмм и на системы описания аудиовизуальных материалов, а также устанавливает требования к структуре метаданных в таких системах. Стандарт ограничивает зону распространения своих требований внешними по отношению к действующим телерадиокомпаниям и другим службам производства медиаконтента, связями, не регламентируя внутренние (корпоративные) методики работы с метаданными |
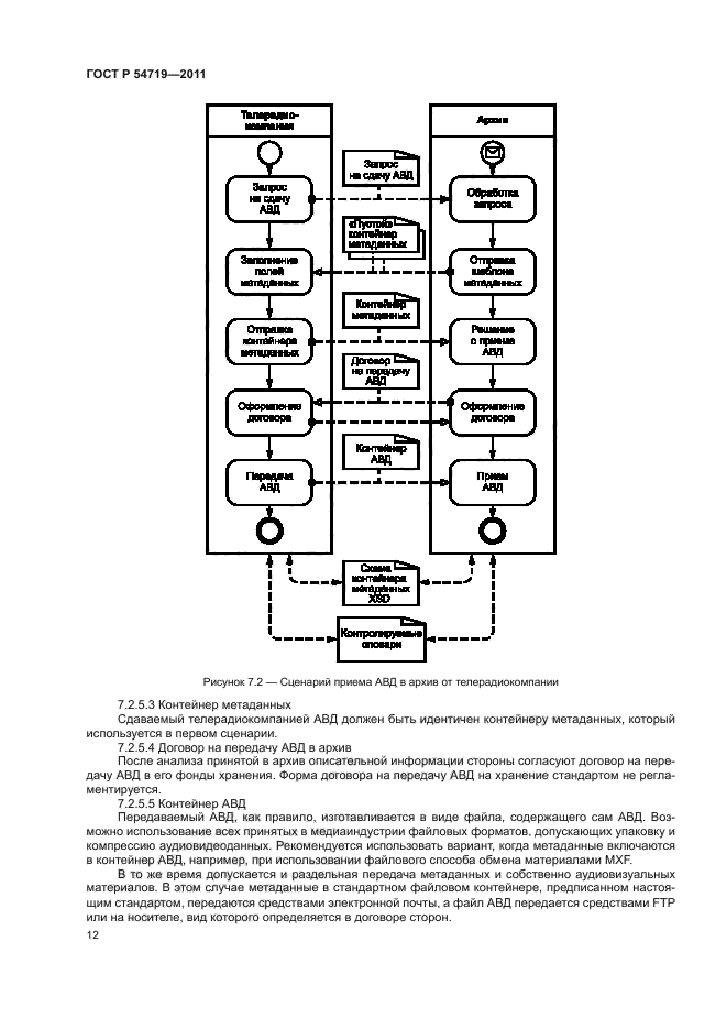
|
| Расположен в: |
|