| Обозначение: |  ГОСТ Р 54481-2011 |
| Статус: | действующий |
| Название рус.: | Информатизация здоровья. Взаимодействие медицинских приборов на месте лечения. Часть 30300. Транспортный профиль. Инфракрасный канал связи |
| Название англ.: | Health informatics. Point-of-care medical device communication. Part 30300. Transport profile. Infrared wireless |
| Дата актуализации текста: | 01.01.2021 |
| Дата актуализации описания: | 01.07.2023 |
| Дата издания: | 30.01.2019 |
| Дата введения: | 01.08.2012 |
| Аутентичен стандартам: | ISO/IEEE 11073-30300:2004 |
| Нормативные ссылки: | ISO/IEEE 11073;IEC 60417-1;IEC 60825-1;ANSI/TIA/EIA-232-F;ANSI/TIA/EIA-568-A;CENELEC EN 60825-1/A11;IEEE Std 802.3;IEEE Std 1073;IETF Network Working Group Report RFC-1305;IETF Network Working Group Report RFC-2030;IETF RFC-793 |
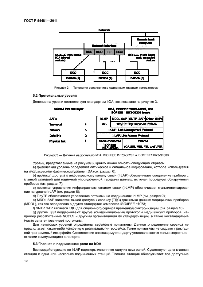
| Область применения: | Область действия настоящего стандарта распространяется на определение IrDA-совместимого транспортного профиля, предназначенного для взаимосвязи медицинских приборов, использующих инфракрасный канал ближнего действия, в дополнение к ИСО/ИИЭР 11073-30200, который определяет физический уровень кабельного соединения. Кроме того, настоящий стандарт отражает/представляет накопленный опыт работы с персональными информационными устройствами (PDA) и сетевыми точками доступа, поддерживающими связь по инфракрасному каналу IrDA |
|
| Расположен в: |
|