| Обозначение: |  ГОСТ Р 54396-2011 |
| Статус: | действующий |
| Название рус.: | Посуда хозяйственная из низкотемпературного фарфора (полуфарфоровая). Технические условия |
| Название англ.: | Vitreous china ware. Specifications |
| Дата актуализации текста: | 01.01.2021 |
| Дата актуализации описания: | 01.07.2023 |
| Дата издания: | 25.11.2019 |
| Дата введения: | 01.01.2013 |
| Нормативные ссылки: | ГОСТ ИСО 2859-1; ГОСТ ИСО 6486-1; ГОСТ ИСО 6486-2-2007; ГОСТ Р 53546; ГОСТ Р 53547; ГОСТ 162; ГОСТ 166; ГОСТ 427; ГОСТ 1770; ГОСТ 18321; ГОСТ 28389 |
| Область применения: | Настоящий стандарт распространяется на посуду хозяйственную из низкотемпературного фарфора (полуфарфоровую) бытовую и для предприятий общественного питания |
|
| Расположен в: |
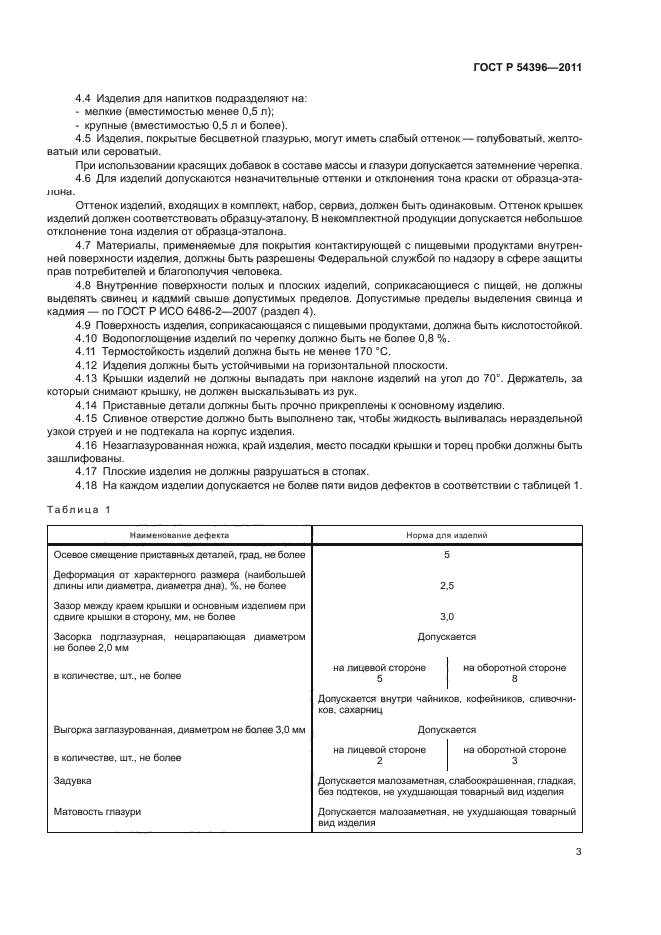
|