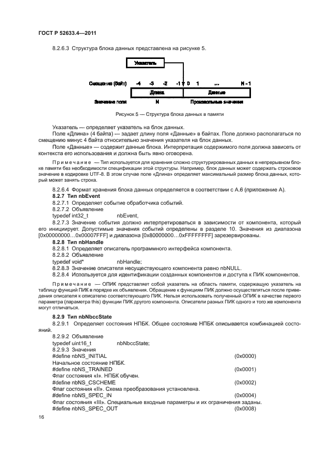
Информационная система
«Ёшкин Кот»

Скачать базу одним архивом
Скачать обновления
История создания базы
Карта сайта

Скачать ГОСТ Р 52633.4-2011 Защита информации. Техника защиты информации. Интерфейсы взаимодействия с нейросетевыми преобразователями биометрия - код доступа

Дата актуализации: 01.06.2025

ГОСТ Р 52633.4-2011

Защита информации. Техника защиты информации. Интерфейсы взаимодействия с нейросетевыми преобразователями биометрия - код доступа

Обозначение: ГОСТ Р 52633.4-2011
Статус:действующий
Название рус.:Защита информации. Техника защиты информации. Интерфейсы взаимодействия с нейросетевыми преобразователями биометрия - код доступа
Название англ.:Information protection. Information protection technology. Neural biometric-code converters programming interfaces
Дата актуализации текста:01.01.2021
Дата актуализации описания:01.07.2023
Дата издания:04.02.2019
Дата введения:01.09.2012
Нормативные ссылки:ГОСТ Р 52633.0;ГОСТ Р 52633.1;ГОСТ Р ИСО/МЭК 8824-1;ГОСТ Р ИСО/МЭК 8824-4;ГОСТ Р ИСО/МЭК 19784-1
Область применения:Настоящий стандарт устанавливает требования к программному интерфейсу взаимодействия с универсальным нейросетевым преобразователем биометрия – код доступа в качестве стандартного интерфейса биометрической системы, применяющей нейросетевое преобразование биометрия – код доступа для выработки двоичного кода из персональных биометрических данных пользователя и использующей этот двоичный код для решения комплексных задач идентификации/аутентификации пользователей, защиты информации, ограничения доступа к ресурсам вычислительных систем. Требования настоящего стандарта применяют к биометрическим системам, использующим различные биометрические технологии (динамика подсознательных движений, анализ отпечатка пальца, анализ особенностей голоса и других), имеющим разный масштаб развертывания (от персональных устройств идентификации/аутентификации и локальных систем обеспечения сетевой безопасности до дистанционных комплексных систем идентификации/аутентификации), произвольную архитектуру и вычислительную платформу
Расположен в:Государственные стандарты Общероссийский классификатор стандартов Информационные технологии. Машины конторские Наборы знаков и кодирование информации Классификатор государственных стандартов Общетехнические и организационно-методические стандарты Общетехнические и метрологические термины, обозначения и величины Общетехнические термины, обозначения и величины
ГОСТ Р 52633.4-2011ГОСТ Р 52633.4-2011ГОСТ Р 52633.4-2011ГОСТ Р 52633.4-2011ГОСТ Р 52633.4-2011ГОСТ Р 52633.4-2011ГОСТ Р 52633.4-2011ГОСТ Р 52633.4-2011ГОСТ Р 52633.4-2011ГОСТ Р 52633.4-2011ГОСТ Р 52633.4-2011ГОСТ Р 52633.4-2011ГОСТ Р 52633.4-2011ГОСТ Р 52633.4-2011ГОСТ Р 52633.4-2011ГОСТ Р 52633.4-2011ГОСТ Р 52633.4-2011ГОСТ Р 52633.4-2011ГОСТ Р 52633.4-2011ГОСТ Р 52633.4-2011ГОСТ Р 52633.4-2011ГОСТ Р 52633.4-2011ГОСТ Р 52633.4-2011ГОСТ Р 52633.4-2011ГОСТ Р 52633.4-2011ГОСТ Р 52633.4-2011ГОСТ Р 52633.4-2011ГОСТ Р 52633.4-2011ГОСТ Р 52633.4-2011ГОСТ Р 52633.4-2011ГОСТ Р 52633.4-2011ГОСТ Р 52633.4-2011ГОСТ Р 52633.4-2011ГОСТ Р 52633.4-2011ГОСТ Р 52633.4-2011ГОСТ Р 52633.4-2011ГОСТ Р 52633.4-2011ГОСТ Р 52633.4-2011ГОСТ Р 52633.4-2011ГОСТ Р 52633.4-2011ГОСТ Р 52633.4-2011ГОСТ Р 52633.4-2011ГОСТ Р 52633.4-2011ГОСТ Р 52633.4-2011ГОСТ Р 52633.4-2011ГОСТ Р 52633.4-2011ГОСТ Р 52633.4-2011

© 2013 Ёшкин Кот :-) Карта сайта