Информационная система
«Ёшкин Кот»

Скачать базу одним архивом
Скачать обновления
История создания базы
Карта сайта

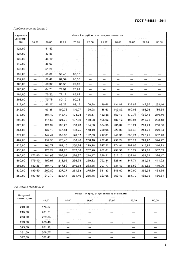
Скачать ГОСТ Р 54864-2011 Трубы стальные бесшовные горячедеформированные для сварных стальных строительных конструкций. Технические условия

Дата актуализации: 01.06.2025

ГОСТ Р 54864-2011

Трубы стальные бесшовные горячедеформированные для сварных стальных строительных конструкций. Технические условия

Обозначение: ГОСТ Р 54864-2011
Статус:заменён
Название рус.:Трубы стальные бесшовные горячедеформированные для сварных стальных строительных конструкций. Технические условия
Название англ.:Hot-deformed seamless steel pipes for the welded steel structures. Specifications
Дата актуализации текста:06.04.2015
Дата актуализации описания:01.07.2023
Дата издания:17.08.2012
Дата введения:01.01.2013
Дата окончания срока действия:01.11.2016
Код ОКП:131000
Заменяющий:ГОСТ Р 54864-2016
Нормативные ссылки:ГОСТ Р 53364-2009;ГОСТ 166-89;ГОСТ 3728-78;ГОСТ 6507-90;ГОСТ 7502-98;ГОСТ 8026-92;ГОСТ 9454-78;ГОСТ 10006-80;ГОСТ 10243-75;ГОСТ 10692-80;ГОСТ 11358-89;ГОСТ 12344-2003;ГОСТ 12345-2001;ГОСТ 12346-78;ГОСТ 12347-77;ГОСТ 12348-78;ГОСТ 12349-83;ГОСТ 12350-78;ГОСТ 12351-2003;ГОСТ 12352-81;ГОСТ 12353-78;ГОСТ 12354-81;ГОСТ 12355-78;ГОСТ 12356-81;ГОСТ 12357-84;ГОСТ 12358-2002;ГОСТ 12359-99;ГОСТ 12360-82;ГОСТ 12361-2002;ГОСТ 12362-79;ГОСТ 12363-79;ГОСТ 12364-84;ГОСТ 12365-84;ГОСТ 17410-78;ГОСТ 18360-93;ГОСТ 18895-97;ГОСТ 22536.0-87;ГОСТ 22536.1-88;ГОСТ 22536.2-87;ГОСТ 22536.3-88;ГОСТ 22536.4-88;ГОСТ 22536.5-87;ГОСТ 22536.6-88;ГОСТ 22536.7-88;ГОСТ 22536.8-87;ГОСТ 22536.9-88;ГОСТ 22536.10-88;ГОСТ 22536.11-87;ГОСТ 22536.12-88;ГОСТ 28473-90
Область применения:Настоящий стандарт распространяется на горячедеформированные бесшовные трубы для сварных стальных строительных конструкций
Расположен в:Государственные стандарты Общероссийский классификатор стандартов Гидравлические и пневматические системы и компоненты общего назначения Трубопроводы и их компоненты Чугунные и стальные трубы Классификатор государственных стандартов Металлы и металлические изделия Трубы металлические и трубные изделия Трубы стальные и соединительные части к ним Окп Трубы стальные Трубы стальные горячедеформированные гладкие
ГОСТ Р 54864-2011ГОСТ Р 54864-2011ГОСТ Р 54864-2011ГОСТ Р 54864-2011ГОСТ Р 54864-2011ГОСТ Р 54864-2011ГОСТ Р 54864-2011ГОСТ Р 54864-2011ГОСТ Р 54864-2011ГОСТ Р 54864-2011ГОСТ Р 54864-2011ГОСТ Р 54864-2011ГОСТ Р 54864-2011ГОСТ Р 54864-2011ГОСТ Р 54864-2011ГОСТ Р 54864-2011

© 2013 Ёшкин Кот :-) Карта сайта