| Обозначение: |  ГОСТ Р 54708-2011 |
| Статус: | действующий |
| Название рус.: | Система цифрового звукового радиовещания DRM. Протокол распределения и коммуникации (DCP) |
| Название англ.: | Digital audio broadcasting system DRM. Distribution and communication protocol (DCP) |
| Дата актуализации текста: | 01.01.2021 |
| Дата актуализации описания: | 01.01.2021 |
| Дата издания: | 01.09.2020 |
| Дата введения: | 01.09.2012 |
| Код ОКП: | 657300 |
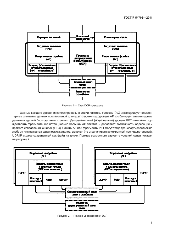
| Область применения: | Настоящий стандарт относится к системе DRM, осуществляющей цифровое звуковое вещание в соответствии ETSI [1]. Стандарт устанавливает требования для распределения в системе DRM коммуникаций общего применения, подходящих для многоадресной передачи данных многим получателям (абонентам), использующим однонаправленные сети связи |
|
| Расположен в: |
|