| Обозначение: |  ГОСТ Р 54456-2011 |
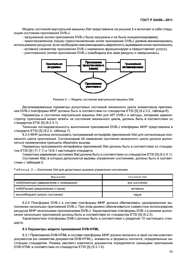
| Статус: | действующий |
| Название рус.: | Телевидение вещательное цифровое. Домашняя мультимедийная платформа. Класс 1.0. Основные параметры |
| Название англ.: | Digital broadcast television. Multimedia home platform. Classes 1.0. Basic parameters |
| Дата актуализации текста: | 01.01.2021 |
| Дата актуализации описания: | 01.07.2023 |
| Дата издания: | 29.06.2020 |
| Дата введения: | 01.07.2012 |
| Код ОКП: | 657400 |
| Аутентичен стандартам: | ETSI ES 201 812 V1.1.2 (2006-08) |
| Нормативные ссылки: | ГОСТ Р 52210; ГОСТ Р 53527-2009; ГОСТ Р 52591; ГОСТ Р 53528 |
| Область применения: | Настоящий стандарт распространяется на аппаратно-программный комплекс - домашняя мультимедийная платформа (Multimedia Home Platform; MHP) класса 1.0. Домашняя мультимедийная платформа обеспечивает доступ пользователя к интерактивным и вещательным службам. Настоящий стандарт предназначен для обеспечения функциональной совместимости между приложениями МНР и реализациями МНР |
|
| Расположен в: |
|